Inclusión Financiera
Informe de Inclusión Financiera
Primer Semestre 2023
Informe semestral orientado a comunicar el estado de la inclusión financiera en el país, las medidas adoptadas en la materia y, a través de métricas específicas, monitorear el avance de la inclusión financiera de la población.
Índice
Capítulos
Síntesis ejecutiva
Tabla de indicadores | Inclusión financiera en Argentina
1. Infraestructura financiera
2. Acceso y uso de cuentas
3. Medios de pago electrónicos y modalidades de ahorro e inversión
4. Crédito
Apartados
Apartado 1 | Digitalización, pandemia y apertura de cuentas: explorando el acceso de los jóvenes a los servicios financieros
Apartado 2 | Dinámica de los retiros de efectivo y la inclusión financiera
Síntesis ejecutiva
• Los puntos de acceso a servicios financieros (PDA) registraron un aumento de 1,2% en el primer semestre de 2023 | La cantidad de PDA cada 10.000 adultos (15 cada 10.000 adultos) y la cobertura de PDA, tanto con relación al porcentaje de localidades (52,3%) como de la población adulta (92,5%), no presentaron cambios significativos.
• La cantidad de personas con cuentas alcanzó los 35,7 millones a junio de 2023, aproximándose al nivel de cobertura plena de la población adulta | La cantidad de personas que poseen tanto cuentas bancarias como cuentas de pago trepó de 18,3 millones en diciembre de 2022 a 20,1 millones en junio de 2023, lo que representó más del 55% de la población adulta. Esta tendencia evidenciaría el aprovechamiento por parte de las personas de las oportunidades que brinda el sistema de acceder a una multiplicidad de servicios financieros interoperables.
• El número de personas que registró actividad en alguna de sus cuentas ascendió a 21,9 millones en el segundo trimestre de 2023 | De esta forma, el 61,4% de las personas con cuenta tuvo al menos un movimiento de crédito o débito. La población entre 20 y 44 años presentó los mayores niveles de actividad (superior al 70%), con un máximo en el rango etario de 25 a 29 años.
• La cantidad de empresas y organizaciones (EyO) con cuentas alcanzó 500.000 unidades | Las EyO con cuentas crecieron en 13.000 unidades respecto de diciembre de 2022 y se destaca la mayor participación de aquellas que operan únicamente a través de cuentas bancarias (80%), respecto de aquellas que poseen ambos tipos de cuentas (19%) o solamente cuentas de pago (1%).
• Los medios de pago electrónicos (MPE) mantuvieron su tendencia expansiva en el primer semestre de 2023 | Cada persona adulta realizó, en promedio, 25 pagos mensuales por medios electrónicos, lo cual representa un máximo histórico. Asimismo, el monto transaccionado por adulto se incrementó un 25% a precios constantes respecto del primer semestre del 2022.
• La cantidad de plazos fijos en pesos de personas humanas se ubicó en 8,2 unidades cada 100 cuentas bancarias, alcanzando el punto más alto en los últimos 4 años | Esta métrica creció 45% entre junio de 2022 y de 2023. Este crecimiento también se refleja en una mayor participación de los plazos fijos en moneda nacional en los saldos totales de los productos de ahorro e inversión, la cual pasó de 37% en junio de 2022 a 43% en junio de 2023.
• El porcentaje de la población adulta con financiamiento en el sistema financiero ampliado (SFA) registró un aumento de 0,9 p.p. con relación a diciembre de 2022, alcanzando una participación de 55,4% a junio de 2023 | De esta forma, el SFA consolida una dinámica en la que se incorporan nuevas personas con financiamiento pero con una reducción del saldo promedio por deudor. Los otros proveedores no financieros de crédito (OPNFC) son los principales impulsores de este fenómeno, dada su operatoria de otorgar préstamos personales de forma digital y por montos reducidos.
• La cantidad de MiPyMEs con crédito en el SFA continuó creciendo en el primer semestre de 2023 | Un millón de unidades productivas tuvieron crédito en el SFA a junio de 2023, un aumento neto cercano a 57.000 unidades productivas con relación a junio de 2022. Asimismo, el saldo de financiamiento de las MiPyMEs en el SFA registró una caída interanual de 5,1% a precios constantes. El apoyo brindado a través de la Línea de Financiamiento para la Inversión Productiva del BCRA, que representó el 28,5% del saldo total de financiamiento a MiPyMEs, mantuvo su impacto positivo en términos de inclusión financiera con eje en el desarrollo productivo de las micro, pequeñas y medianas empresas.
Tabla de indicadores | Inclusión financiera en Argentina

Notas:
ATM: Cajeros automáticos, EEFF: Entidades financieras, SFA: Sistema financiero ampliado.
Cajeros automáticos, EEFF: Entidades financieras, SFA: Sistema financiero ampliado.
(1) Se incluyen los puntos de acceso de las entidades financieras (sucursales, sucursales móviles, ATMs, terminales de autoservicio y agencias complementarias de servicios financieros) y los cajeros automáticos operados por entidades no financieras.
(2) Promedio mensual de cada año. Año 2023: promedio mensual del primer semestre.
(*) Dado que a la fecha de esta publicación no están disponibles los datos por grupo etario del Censo Nacional de Población Hogares y Viviendas 2022 (INDEC) se continúa trabajando con las proyecciones del Censo de 2010. Los indicadores elaborados en este IIF en relación con la población adulta deberían tomarse como provisorios hasta tanto se cuente con información actualizada del último censo. En este sentido, el porcentaje de la población adulta con al menos una cuenta arroja un valor de 100,4% en junio de 2023.
Introducción
La inclusión financiera en Argentina mostró una evolución favorable en sus indicadores más relevantes durante el primer semestre de 2023. Esto sucede en un contexto internacional donde la creciente adopción de servicios financieros digitales resalta la relevancia de la infraestructura de comunicaciones y de las tecnologías de la información. En el ámbito local, las entidades financieras (EEFF) y no financieras1 han estado adaptando su oferta de servicios a partir de la incorporación de tecnología. El BCRA, por su parte, incorporó en su regulación los servicios financieros digitales, buscando balancear los beneficios ofrecidos para los usuarios y mitigando sus riesgos asociados.
Una primera evidencia de este fenómeno se observa en el crecimiento de la tenencia conjunta de cuentas bancarias y de pago, que a junio de 2023 superó el 55% de la población adulta. Este indicador revela la importancia de la interoperabilidad entre ambos tipos de cuentas, cualidad que permite a la población acceder a una variedad de productos financieros, tales como medios de pago, instrumentos de ahorro, inversión y financiamiento. En este sentido, las primeras mediciones de actividad en cuentas (esto es, con débitos y/o créditos) señalan que aumentó la proporción de personas con movimientos en sus cuentas.
En la misma línea, los pagos por medios electrónicos vienen experimentando un crecimiento continuo y elevado, donde la cantidad de operaciones por adulto alcanzó un valor récord durante el primer semestre de 2023. Esto sumado a la tendencia descendente del monto promedio transaccionado por adulto2, evidencia la penetración de los medios de pago electrónicos en las transacciones habituales de montos menores.
La evolución de la infraestructura digital acompañó la incorporación de servicios financieros a los canales digitales por parte de las entidades. Los accesos a internet móvil continuaron expandiéndose a tasas muy por encima (6% anual en el primer semestre) del crecimiento poblacional (0,9%), mientras que los accesos a internet fija siguieron con su tendencia creciente aunque a tasas más moderadas (1,4% anual en el primer semestre)3.
Asimismo, el acceso a infraestructura digital presenta desafíos pendientes tales como la calidad y disponibilidad de conexión a internet en localidades pequeñas y la disponibilidad de dispositivos electrónicos4. Por su parte, la infraestructura física de acceso a los servicios financieros, que a nivel global muestra una tendencia descendente para sucursales y ATMs, se mantuvo relativamente constante durante el primer semestre de 2023.
Por su parte, el contexto macroeconómico local mostró variabilidad en los niveles de actividad económica, consumo y empleo entre el primer y segundo trimestre de 2023. Estos indicadores inciden, directa o indirectamente, sobre la inclusión financiera de las personas humanas y las empresas. La actividad económica mostró una expansión durante el primer trimestre del año (0,9%) y una contracción en el siguiente (-2,8%)5. La demanda de bienes de consumo registró un desempeño cualitativamente similar al del producto bruto interno (PIB).
En el mercado laboral, la economía continuó creando puestos de trabajo en los primeros tres meses del año, aunque los redujo en el segundo6. Una característica notable de los últimos años es que la economía tendió a intensificar los niveles de empleo con relación al PIB7. De este modo, el crecimiento del empleo crea condiciones favorables para una mayor inclusión financiera de las personas. En este sentido, la cantidad de personas humanas con cuentas alcanzó 35,7 millones a junio de 2023, aproximándose al nivel de cobertura plena de la población adulta, y continuó expandiéndose el número de personas humanas con financiamiento (19,7 millones de personas).
Por su parte, los ingresos laborales continuaron exhibiendo comportamientos diferenciados. Aquellos vinculados a personas registradas se mantuvieron relativamente estables en el primer semestre de 2023 respecto del cierre del año anterior, mientras que los de aquellas no registradas mostraron una reducción en el período8 .
Las tasas de interés activas y pasivas, luego de permanecer estables en el primer trimestre del año, aumentaron durante el segundo. El BCRA decidió acelerar el proceso de suba de la tasa de interés de referencia con el objetivo de propender hacia retornos reales positivos sobre las inversiones en moneda local y evitar que la volatilidad financiera impacte en las expectativas de inflación y en la dinámica del mercado de cambios9.
En ese contexto, el acceso a crédito registró la incorporación de nuevas personas humanas (PH) y MiPyMEs, pero con un saldo promedio por deudor que continúa descendiendo. En particular, el BCRA emitió regulaciones tendientes a lograr una mayor inclusión financiera de MiPyMEs que repercutieron en el número de MiPyMEs que tomaron financiamiento en el SFA.
En materia de productos de ahorro e inversión, continuó acentuándose el cambio de portafolio de las PH, con una reducción en las tenencias de instrumentos de liquidez inmediata y un incremento de aquellos instrumentos de plazos y retornos más elevados.
1. Infraestructura financiera
El avance en la digitalización de los servicios financieros, la mayor disponibilidad de dispositivos móviles e internet y el objetivo de reducción de costos por parte de las entidades financieras (EEFF), entre otros factores, han provocado cambios en el crecimiento y composición de los puntos de acceso a servicios financieros (PDA) a nivel global10 .
Las sucursales y los cajeros automáticos (ATMs) exhiben, a nivel mundial, una tendencia descendente, mientras que esquemas no tradicionales de acceso como las agencias complementarias de servicios financieros (ACSF) han crecido de manera significativa, principalmente por el accionar de India e Indonesia. Durante los últimos cinco años, este fenómeno ha provocado un cambio significativo en la composición de los PDA, donde la participación de los ATMs y sucursales en conjunto pasó de 61% en 2017 a 27% en 202211 , mientras que, sin considerar a India e Indonesia, pasó del 83% a 74% en el mismo período de tiempo.
Sin embargo, a lo largo del período mencionado los PDA presentan diferentes comportamientos en función del nivel de ingresos de los países: (i) los países de ingresos altos reducen los ATMs y las sucursales y mantienen niveles muy bajos de ACSF; (ii) los países de ingresos medios y bajos registran crecimientos significativos de ACSF y ATMs y mantienen relativamente estable el número de sucursales.
Gráfico 1 | Cantidad de PDA por tipo y conjunto de países

Nota | Se considera una muestra de 85 países que reportan datos de infraestructura financiera al FMI. “mill”: millones.
Fuente | Financial Access Survey, FMI.
La evolución de los PDA en Argentina presenta rasgos similares al conjunto de países de ingresos medios y bajos, en un contexto donde los medios de pago electrónicos crecieron de manera significativa tanto en cantidad de operaciones como en monto.
Infraestructura física. Durante el primer semestre de 2023, los PDA en Argentina registraron un aumento de 1,2%, impulsado principalmente por la incorporación de nuevos dispositivos electrónicos. La cantidad de PDA cada 10.000 adultos y la cobertura de PDA no presentaron cambios significativos, tanto con relación al porcentaje de localidades como de la población adulta.
En línea con la tendencia global12 , las sucursales continúan en una senda decreciente y durante el primer semestre de 2023 mostraron una caída de 1,2% explicada principalmente por el comportamiento de bancos privados. Las ACSF, por su parte, se mantuvieron prácticamente constantes con un leve aumento de 0,1%. Este tipo de PDA, que se emplaza casi exclusivamente en locales de las redes de cobranza extrabancaria13 , podría haber encontrado un techo dado que cubrió casi el total de puntos de atención de las redes de cobranza del país.
Tabla 1 | Puntos de acceso a servicios financieros por localidad

Nota | m: miles. Cantidad de localidades y porcentaje de la población urbana a junio de 2023: más de 500 m: (5, 14%); Entre 500 y 250 m: (19, 20%); Entre 250 y 100 m: (46, 23%); Entre 100 y 50 m: (48, 10%); Entre 50 y 10 m: (268, 18%); Entre 10 y 5 m: (232 y 6%); Entre 5 y 2 m: (402, 5%) y Menos de 2 m: (2518, 4%).
Fuente | BCRA, redes e INDEC.
En relación con los dispositivos electrónicos, los ATM registraron un aumento de 3,2% con respecto a diciembre de 2022, con 607 nuevos dispositivos incorporados principalmente por bancos públicos (386 ATMs) y entidades no financieras (217 ATMs). Un 31% de estos nuevos ATMs se ubicó dentro de las sucursales, mientras que el 69% restante se ubicó fuera. Los ATMs ubicados fuera de las sucursales bancarias contribuyen a mejorar la capilaridad de la infraestructura del sistema financiero. Además, estos ATMs brindan a los usuarios un horario de atención más amplio y la posibilidad de extraer efectivo en ubicaciones como dependencias públicas, estaciones de servicio y locales de cobranza extrabancaria, entre otras. Las terminales de autoservicio (TAS), por su parte, aumentaron un 0,6% con 53 nuevos dispositivos eminentemente de bancos privados y ubicados en su mayoría dentro de las sucursales.
En términos de cobertura, el porcentaje de localidades con al menos un PDA se mantuvo en niveles prácticamente constantes desde diciembre de 2021, así como el porcentaje de adultos que vive en localidades con al menos un PDA, aunque se observaron aumentos marginales en las localidades de menos de 10.000 habitantes adultos en el último semestre. El 99,5% de las localidades de más de 10 mil adultos contaba con al menos un PDA y el 96,4% ofrecía una gama completa de servicios financieros a sus habitantes (es decir que cuentan con al menos una sucursal).
Tabla 2 | Combinación de PDA

Nota | m: miles y SUC: sucursal. El porcentaje de adultos sin PDA incluye aquellos que viven en localidades que no tienen cobertura de PDA y la población rural dispersa.
Fuente | BCRA, redes e INDEC
Sin embargo, la cantidad y variedad de PDA se reduce a medida que lo hace la población de las localidades. En localidades más pequeñas, es más frecuente la presencia de un sólo tipo de PDA, ya sea un ATM o una ACSF, lo que implica que sus habitantes deben trasladarse para acceder a la oferta plena de servicios financieros presenciales. De esta forma, el principal desafío se mantiene en alcanzar las localidades más alejadas y con poblaciones más pequeñas, en las que la infraestructura digital cobra aún mayor importancia para permitir el acceso y uso de los servicios financieros digitales. Asimismo, la disponibilidad de dispositivos POS que permitan los pagos digitales y la extracción de efectivo en comercios se vuelve un factor clave para la inclusión financiera (Ver sección Medios de Pago Electrónicos).
Recuadro 1 / Estimación del uso de la infraestructura física
Para dimensionar el uso de la infraestructura física por parte de la población, se comparó la cantidad de transacciones a través de PDA y de canales electrónicos en tres tipos de transacciones: (i) pagos de servicios y transferencias; (ii) plazos fijos y (iii) alta de préstamos14 .
En primer lugar, la infraestructura física muestra una participación minoritaria en las operaciones transaccionales y de ahorro y una mayoritaria en las operaciones de crédito. Dicha situación podría estar vinculada con los requerimientos solicitados al momento de tomar un crédito, sea por la complejidad de su digitalización como por la preferencia de las personas solicitantes de llevar a cabo dichas operaciones de manera presencial en las sucursales.
Gráfico 2 | Distribución de la cantidad de transacciones por tipo de PDA y canal

Fuente | BCRA y redes.
En segundo lugar, el paso del tiempo muestra una sustitución de canales presenciales por electrónicos en las operaciones de plazo fijo y alta de créditos. Esto se encuentra en línea con un mayor desarrollo de las EEFF de los canales electrónicos para estos tipos de operaciones. Por otra parte, si bien para todas las operaciones analizadas resulta más frecuente el uso del home banking que del mobile banking, se observa en el tiempo, consecuentemente con la mayor tenencia y uso de los celulares por sobre las computadoras, un amplio crecimiento del mobile banking.
En un contexto de amplia digitalización de los servicios financieros, la infraestructura física mantiene su importancia especialmente para operaciones más complejas. Asimismo, resulta un canal fundamental para aquellas personas con habilidades digitales limitadas o que carecen de dispositivos electrónicos y acceso a Internet.
Infraestructura digital. La adopción de los servicios financieros digitales por parte de la población adulta continúa creciendo15 . Este fenómeno resalta la relevancia de la infraestructura digital en todos sus aspectos, desde la tenencia de dispositivos hasta la calidad de conexión a Internet, dado que configura el grado y el tipo de uso de los servicios financieros digitales.
En primer lugar, la tenencia de dispositivos electrónicos como computadoras o celulares en nuestro país alcanza al 62,6% de los hogares y el 89,3% de los individuos, respectivamente16 . Argentina registra mejor desempeño en tenencia de dispositivos que otras jurisdicciones de la región, pero menor que en países desarrollados donde los servicios financieros digitales presentan niveles de uso muy elevados (Dinamarca y Finlandia).
En segundo lugar, el 92% de los hogares cuenta con conexión a Internet, factor clave para el uso de los servicios financieros digitales. Asimismo, la calidad de la conexión, tanto en términos de su velocidad como su estabilidad, también juega un rol clave dado que afecta el acceso y uso de los servicios financieros digitales. El promedio de la velocidad media de Internet móvil de 22 mbps e Internet fija de 60 mbps que se registra a nivel nacional resulta más que suficiente para el uso de los canales electrónicos como home y mobile banking17 . No obstante, el desempeño de nuestro país no es tan favorable si se lo compara con otros países de la región (como Brasil y Uruguay), o países desarrollados como Dinamarca y Finlandia.
Tabla 3 | Comparación internacional de la infraestructura digital

Nota | Para los datos en los que no se indica el año, se trata de 2022, excepto para calidad de conexión 2023.
Fuente | Statista, Datareportal.com, ITU e INDEC.
Asimismo, en virtud del extenso territorio, las características de la conectividad no resultan homogéneas a nivel de localidades, registrándose claras diferencias en cuanto a la tecnología disponible y la velocidad de la conectividad. En particular, en las localidades más pequeñas se observa una mayor presencia de la conectividad inalámbrica18. Asimismo, las localidades de menor tamaño tienen mayor proporción de sus conexiones con menor velocidad, lo que podría impactar negativamente sobre el uso de los canales electrónicos para las transacciones financieras (aunque en su mayoría se trate de velocidades suficientes para el uso de servicios financieros digitales).
Gráfico 3 | Distribución de accesos a Internet fija por tecnología y velocidad

Nota | Datos a junio de 2023. m: miles.
Fuente | BCRA en base a datos de ENACOM e INDEC.
En tercer lugar, el uso de los dispositivos y la conectividad impactan sobre el acceso y uso de los servicios financieros digitales. En este sentido, el 39% de las personas de nuestro país usan una computadora. El uso de celulares se encuentra más extendido y abarca un 89% de la población. Por otra parte, 88% de los individuos usan internet y 82% internet móvil, superando a varios países de la región, pero con valores menores que los países desarrollados. El mayor uso de celulares tendría un impacto positivo sobre el uso de la banca móvil y las billeteras virtuales por sobre el home banking a través de computadoras (Ver Recuadro 3 / Dispositivos y canales de iniciación).
Con estos datos, se evidencia que las condiciones de acceso, calidad y uso de la infraestructura digital son heterogéneas a lo largo de la Argentina, y suficientes para el uso de los servicios financieros digitales en poblaciones más grandes, con más y mejor conectividad y uso de tecnologías.
Un aspecto fundamental que complementa este análisis es la demanda de servicios financieros digitales, que está íntimamente asociada a las capacidades financieras de la población, que como hemos expuesto en otros informes19, observa mayores niveles en poblaciones de más habitantes, mejores niveles de ingreso, de educación, entre los aspectos a destacar, y que se manifiesta como uno de los principales desafíos de los hacedores de política20 .
En contraposición, los servicios financieros presenciales continúan siendo elegidos por personas que no cuentan con la infraestructura digital necesaria a disposición ni con las habilidades para utilizarlas, y juegan un rol primordial en la asistencia a esas personas.
2. Tenencia de cuentas
La cantidad de personas humanas (PH) que poseía al menos una cuenta se ubicó en 35,7 millones a junio de 2023. Esto implica que la población adulta alcanzó niveles próximos a la cobertura total de cuentas para realizar pagos y transferencias y constituir ahorros y/o inversiones21 . De esta forma, el número de personas tenedoras de cuentas registró un aumento neto de 600 mil con relación a diciembre de 2022, lo que se tradujo en una suba semestral de 1,7%.
La cantidad de personas que poseían cuentas bancarias y de pago trepó de 18,3 millones en diciembre de 2022 a 20,1 millones en junio de 2023. Dado que 9 de cada 10 personas ya tenían cuenta bancaria en diciembre de 2022, se evidenciaría la migración de personas con sólo cuenta bancaria (caída de 1,4 millones) hacia el grupo de individuos con los dos tipos de cuentas (suba de 1,8 millones). El grupo que poseía exclusivamente cuentas de pago registró un incremento de 200 mil personas.
Gráfico 4 | Personas humanas con cuentas

Nota | Cuentas bancarias: personas que sólo tienen este tipo de cuentas; Cuentas de pago: personas que sólo poseen cuentas de pago; Tenencia conjunta: personas que tienen cuentas bancarias y de pago; Porcentaje de la población adulta: toma como denominador las proyecciones de población adulta realizadas a partir de los resultados del Censo Nacional 2010. Las tasas de crecimiento estimadas pueden registrar diferencias respecto de las tasas reales y así sobreestimar los niveles de tenencia de cuentas.
Fuente | BCRA en base a COELSA e INDEC.
El grupo de personas que tenía tanto cuentas bancarias como cuentas de pago representó algo más del 55% de la población adulta en junio de 2023. La tenencia de ambos tipos de cuenta ofrece ventajas prácticas al aprovechar su interoperabilidad para transferir fondos sin costo. Esto amplía la gama de servicios transaccionales y opciones de ahorro e inversión a las cuales pueden acceder las PH de acuerdo a sus necesidades, mejorando las condiciones de la inclusión financiera en el país.
Del incremento de 600 mil personas con al menos una cuenta, las personas jóvenes, en el rango comprendido entre 15 y 29 años, contribuyeron a explicar la mitad de este aumento (300 mil), mientras que el aporte de las personas de edad intermedia, es decir de aquellas que oscilan entre 30 y 64 años fue de un tercio (200 mil). Sin embargo, el crecimiento de los individuos con ambos tipos de cuentas estuvo explicado principalmente por aquellos de edad intermedia con una contribución de 63% a la tasa de variación total de 9,8%, aunque los jóvenes y los adultos de edad avanzada (65 años o más) también registraron variaciones positivas en el semestre y contribuciones de 28% y 9% respectivamente.
Gráfico 5 | Personas humanas con cuentas en función del tipo de cuenta y grupo etario

Fuente | BCRA en base a COELSA e INDEC.
En este punto, cabe mencionar que las personas jóvenes y adultas tuvieron preferencia por la tenencia conjunta de cuentas, con participaciones de 68% y 62% si se considera la población que posee al menos una cuenta a junio de 2023 en cada grupo etario. Por el contrario, las personas de edad avanzada se inclinaron mayormente por la tenencia exclusiva de cuentas bancarias: dentro de la población igual o mayor a 65 años con cuenta, un 83% poseía únicamente cuenta bancaria.
La dinámica de los cuentahabientes presentó una tendencia creciente hacia la tenencia conjunta a causa de la incorporación de cuentas de pago por parte de personas que poseían exclusivamente cuentas bancarias. Sin embargo, y a pesar de que casi toda la población adulta (95,9%) contaba con al menos una cuenta bancaria, se evidenció una apertura22 importante de cuentas bancarias, que incluso superó a la de cuentas de pago durante el primer semestre de 2023 (4,8 millones vs 4,2 millones). Esta conducta, además de reflejar que las personas buscan ampliar y complementar sus servicios financieros optando por un tipo de cuenta distinto (cuentas de pago) al que poseían, manifestaría que los individuos están dispuestos a sumar nuevas cuentas bancarias, dado que probablemente su oferta se ajuste a necesidades adicionales. La política comercial de bancos públicos y privados (a través de descuentos), los beneficios que se derivan del marco regulatorio, la facilidad en la apertura a través del onboarding digital y la gratuidad de las cuentas, entre otros, podrían explicar este fenómeno23.
Recuadro 2 / Cuentas de empresas y organizaciones
Las cuentas bancarias o de pago permiten a las empresas y organizaciones, constituidas como personas jurídicas, recibir cobros y efectuar pagos de insumos o de su nómina laboral, así como realizar la administración financiera de sus recursos. Las razones que inducen a las empresas y organizaciones (EyO) a operar con cuentas pueden resumirse en:
(1) los medios de pago electrónicos (MPE) son más eficientes y seguros en el proceso de cobranzas que el uso de efectivo;
(2) los comercios tienen más incentivos a aceptar MPE cuanto más consumidores dispongan de estos instrumentos (del mismo modo, un mayor número de consumidores estará dispuesto a usar MPE si más comercios aceptan MPE)24;
(3) el desarrollo del comercio electrónico actúa como incentivo adicional a la necesidad de disponer de una cuenta bancaria o de pago, dado que resulta complejo sustituir el pago electrónico por un pago en efectivo en un entorno no presencial.
Así pues, el análisis de la evolución de las cuentas de EyO reviste particular importancia.
Gráfico 6 | Empresas y organizaciones con cuentas

Fuente | BCRA en base a COELSA e INDEC.
En los últimos años, el número de EyO con cuentas exhibió una tendencia creciente, pasando de alrededor de 407.000 en marzo de 2019 a 500.000 en junio de 202325. Eventos puntuales implicaron cambios abruptos en la apertura de cuentas de pago, tal como la pandemia COVID-19. Específicamente, las EyO con cuentas bancarias y de pago crecieron en alrededor de 15.500 en el primer trimestre de 2020, cifra que fue parcialmente compensada por la reducción de las que solamente poseían cuentas bancarias (-11.000). De este modo, el inicio de la pandemia COVID-19 no solo produjo que EyO que antes poseían únicamente cuentas bancarias pasaron a tener adicionalmente una cuenta de pago, sino también la apertura de ambos tipos de cuentas durante el trimestre.
De todos modos, a nivel agregado, la proporción de EyO que poseen cuentas de pago (exclusivas o no) es aún reducida, alcanzando cerca de 21% del total de EyO con cuentas. Este es un aspecto que contrasta significativamente con lo observado en el caso de las PH, donde 61% de la población adulta posee al menos una cuenta de pago. El resultado se encuentra en línea con el Informe de Pagos Minoristas del BCRA donde se muestra que los comercios utilizan preferentemente cuentas bancarias para acreditar los pagos.
Actividad en las cuentas. El uso de las cuentas para realizar transacciones genera un avance en la inclusión financiera de la población. La posibilidad de efectuar pagos y transferencias, constituir ahorros e inversiones y tomar financiamiento, facilita la gestión financiera de los recursos, reduce la dependencia del efectivo y ayuda a construir historiales crediticios.
Para aproximar el grado de uso de las cuentas, se utilizaron nuevos datos provistos por COELSA que indican si las personas cuentahabientes registraron débitos o créditos en alguna de sus cuentas bancarias y/o de pagos a lo largo de un trimestre26 . Dado que este indicador considera el subconjunto de operaciones en las cuales interviene COELSA, las métricas de actividad están subestimadas. En particular, el indicador no captura aquellas personas cuentahabientes que operan con tarjeta de débito y no realizan transferencias desde o hacia cuentas de pago, entre otros. Otro aspecto del indicador es que las operaciones de débito son, en general, iniciadas por la propia PH titular de la cuenta mientras que en las de crédito son originadas por un tercero (PH o PJ). Esta distinción tiene consideraciones distintas en términos de inclusión financiera, dado que en el primer caso se trata de una operación activa de la PH.
Considerando las limitaciones mencionadas, la cantidad de PH que registraron al menos una operación27 de crédito o débito en alguna de sus cuentas ascendió a 21,9 millones durante el segundo trimestre de 2023, es decir, 61,4% de las PH cuentahabientes a junio de 2023. De esta forma, el conjunto de PH con este tipo de actividad en sus cuentas registró un incremento de 1,6 millones con relación al trimestre anterior, lo que se tradujo en una suba trimestral de 7,6%. Al considerar la tenencia por tipo de cuentas, las PH con tenencia conjunta registraron los mayores ratios de actividad, seguidas por las PH con solo cuenta de pago y en último lugar, las PH con solo cuenta bancaria.
Gráfico 7 | Personas humanas cuentahabientes con actividad en alguna de sus cuentas

Nota | «Cuentas» considera cuentas bancarias y de pago. «Actividad» está determinada por las operaciones transaccionales de crédito o débito compensadas por COELSA.
Fuente | BCRA en base a COELSA e INDEC.
*Edad. En términos de la edad de los cuentahabientes, los grupos etarios comprendidos entre 20 y 44 años registraron niveles de actividad superiores al 70%, alcanzando un pico en el rango comprendido entre 25 y 29 años. Luego de este máximo, a partir de los 30 años, el grado de actividad comienza a disminuir a medida que aumenta la edad, con valores inferiores al 50% a partir de los 60 años y menores al 20% a partir de los 75 años. La elevada tenencia exclusiva de cuentas bancarias entre las personas de edades avanzadas (65 años y más) podría explicar los bajos ratios de actividad por edad de esta métrica, dado que excluye las operaciones realizadas con tarjetas de débito (que son utilizadas en una mayor proporción en este rango etario que en el correspondiente a los más jóvenes -22 a 29 años-)28. El otro extremo etario, es decir, la población más joven (15 a 19 años), registró niveles de actividad de 63,3%.
Los jóvenes hacen un uso más intensivo del celular e internet29, lo que generaría mayor actividad en los movimientos de las cuentas30 . Cabe señalar que los cuentahabientes de las entidades financieras (EEFF) registraron una edad promedio mayor que los cuentahabientes de los proveedores de servicios de pago (PSP). En este último grupo de entidades se requiere la instalación de una aplicación en el celular para abrir una cuenta y realizar transacciones, aspecto que favorece la tenencia de cuentas de pago por parte de personas jóvenes.
Gráfico 8 | Coeficiente de actividad con respecto a la cantidad de cuentahabientes por grupo etario

Nota | El eje X ilustra los rangos etarios en forma de lustro; Cuentas bancarias: sólo cuentas bancarias; Cuentas de pago: sólo cuentas de pago; Tenencia conjunta: cuentas bancarias y de pago. Con cuenta: personas que poseen cuenta bancaria y/o de pago. Este ratio mide el porcentaje de personas con actividad dentro de cada grupo etario y por grupo excluyente de acuerdo con la tenencia de cuentas.
Fuente | BCRA en base a COELSA e INDEC.
*Tipo de movimiento. El 86% de las personas que poseían ambos tipos de cuenta tenían algún tipo de movimiento en sus cuentas, mientras para aquellas que poseían solamente cuentas bancarias el ratio de actividad se reduce a 25%. Asimismo, este fenómeno no es atribuible exclusivamente a un grupo etario en particular, sino que se mantiene en niveles bajos aún en personas jóvenes. Este último valor opera como un nivel mínimo de actividad dado que no están incluidas las transferencias entre cuentas bancarias y los pagos con tarjetas de débito, operaciones que pueden ser frecuentes en los tenedores de sólo cuentas bancarias.
Al segundo trimestre de 2023, el 71,6% de la población con tenencia conjunta registró débitos y créditos en sus cuentas. Estas personas se caracterizan por realizar un uso intensivo de las cuentas que, a través de la interoperabilidad entre el sistema financiero y los PSP, suelen aprovechar las ventajas de cada tipo de cuenta. Más del 60% de la población joven y de edad intermedia poseía tenencia conjunta, dentro de los cuales un 87% presentó actividad en el trimestre analizado.
Tabla 4 | Personas humanas con movimientos de cuentas por tipo de cuenta
Datos al segundo trimestre de 2023

Nota | Cuentas bancarias: sólo cuentas bancarias, Cuentas de pago: sólo cuentas de pago. PH: personas humanas.
Fuente | BCRA en base a COELSA.
3. Medios de pago electrónicos y modalidades de ahorro e inversión
3.1. Medios de pago electrónicos
La aceleración en la adopción de los pagos electrónicos en detrimento del uso de efectivo constituye una tendencia global. Con independencia del nivel de ingreso, los países están experimentando una sustancial digitalización de sus pagos y menores extracciones de efectivo. Los medios de pago electrónicos (MPE) cumplen un rol clave de la inclusión financiera de las personas, dado que conforman la puerta de entrada al sistema financiero.
Argentina se enmarca en este comportamiento y evidencia un claro avance de los medios de pago electrónicos (MPE) sobre el Producto Interno Bruto (PIB) (76,6% para el segundo trimestre de 2023 vs. 58,2% para el mismo periodo de 202231). Los MPE muestran un continuo y elevado crecimiento, donde la cantidad de operaciones por adulto alcanzó un valor y una tasa de variación récord durante el primer semestre de 2023. Esta tendencia abarca a todos los instrumentos de pago electrónicos, dado que cada uno de ellos registró aumentos sostenidos en el número de transacciones por adulto, en mayor o menor medida.
Como consecuencia, se observa un uso diversificado de los MPE donde el avance de nuevas alternativas digitales ha complementado las herramientas tradicionales y, como resultado, se evidencia un crecimiento de los MPE en su conjunto.
Cantidades y montos transaccionados. En el primer semestre de 2023, cada persona adulta realizó, en promedio, 25 pagos mensuales por medios electrónicos, lo cual representa un nuevo máximo histórico32. La cantidad de operaciones por adulto aumentó un 62% respecto del primer semestre de 2022, siendo la tasa más elevada desde el inicio de la serie33, y se multiplicó por 4 respecto del primer semestre de 2019.
Por su parte, el monto transaccionado por adulto se incrementó un 25% i.a. en términos reales34 en el primer semestre del año. Por ende, el monto promedio en términos reales de cada pago electrónico continuó a la baja por quinto semestre consecutivo, indicando que las personas estarían optando por medios digitales para transacciones habituales de montos relativamente menores.
Al igual que en los anteriores tres semestres, la contribución de los pagos inmediatos35 al crecimiento de los MPE fue notoria, pues aportó 50 p.p. de 62% para las cantidades y 21 p.p. de 25% para los montos. Como consecuencia, los pagos inmediatos, transferencias electrónicas (transferencias) y pagos con transferencia (PCT), se posicionaron como los pagos más utilizados por la población adulta. En el primer semestre de 2023, casi 6 de cada 10 pagos electrónicos se efectuaron vía transferencias o PCT mientras que un año antes esa relación era de 4 de cada 10.
Gráfico 9 | Medios de pago electrónicos (MPE)

Nota | Otros: incluye débito directo y DEBIN.
Fuente | BCRA, INDEC y redes.
La expansión de este conjunto de pagos que, sumado a los pagos con tarjeta de débito, explican 8 de cada 10 pagos electrónicos durante el primer semestre de 2023, podría asociarse a las ventajas para los comercios en términos de disponibilidad de los cobros y sus costos. Estos instrumentos, a diferencia de las tarjetas de crédito, comparten plazos reducidos o inmediatos para la acreditación de los fondos junto a comisiones nulas o relativamente bajas (tarjetas de débito: 0,8% y PCT: 0,6% a 0,8%) para el receptor. En el extremo opuesto, las tarjetas de crédito con los plazos de acreditación más extensos y comisiones más altas dada su función como instrumento de pago y financiamiento, redujeron fuertemente su participación en la cantidad de operaciones (de 44% a 14% entre el primer semestre de 2023 y el mismo periodo de 2019).
La regulación del BCRA tuvo un rol relevante en impulsar los MPE en pos de desalentar el uso de efectivo: (i) a fines de 2020, se lanzó PCT con el objetivo de expandir el alcance de las transferencias inmediatas a los pagos cotidianos, que se destaca por la acreditación inmediata de los cobros y las bajas comisiones, evitando los gastos del manejo de efectivo para los comercios (transporte, almacenamiento, seguridad); y (ii) a mediados del año 2021, las entidades financieras (EEFF) acordaron con el BCRA acortar a un día hábil el plazo para la acreditación de los fondos por los cobros con tarjeta de débito.
MPE y extracciones de efectivo. La dinámica de los MPE y de los retiros de dinero a través de cajeros automáticos (ATMs) y puntos extrabancarios (como comercios) indicaría un avance de los MPE sobre el efectivo (ver Apartado 2). Por cada extracción de efectivo, una persona ha efectuado un poco más de 9 pagos mensuales con MPE durante el primer semestre de 2023, mientras que, en el mismo periodo del año anterior, los pagos electrónicos implicaron un poco más de 5 operaciones. Al mismo tiempo, por cada $1.000 extraídos por mes, una persona ha efectuado pagos con MPE por aproximadamente $7.300 durante el primer semestre de 2023, mientras que, en el mismo periodo del año anterior, los MPE implicaron desembolsos por $4.500.
La evolución de los medios de pago en las ventas de los supermercados constituye un ejemplo de este comportamiento. La participación del efectivo en los montos abonados cayó del 30% al 27% entre los primeros semestres de 2022 y 2023, en contraste con el crecimiento de tarjetas de débito (2 p.p.) y otros medios (1 p.p.)38 .
La expansión de los pagos digitales en detrimento de las extracciones de efectivo es un fenómeno que se registra en distintas economías del mundo y de manera independiente de su nivel de ingreso.
Tabla 5 | Número de pagos con medios electrónicos por cada extracción de efectivo
Datos por habitante
Nota | Las series publicadas en BIS consideran las siguientes variables para conformar el conjunto de pagos minoristas: transferencias, débitos directos, tarjeta de débito y crédito y pagos con dinero electrónico (e-money payments). La columna “2021/ 2019” es el resultado de la división entre las columnas “2021” y “2019”. Argentina: los datos publicados por el BIS coinciden con los datos publicados por el BCRA.
Fuente | Extracciones y MPE (BIS) y Banco Mundial.
Si bien entre los países de la muestra39 , y dentro de cada grupo de ingreso, se evidencia una heterogeneidad entre la cantidad de los pagos electrónicos por cada extracción de efectivo, todos exhibieron un crecimiento entre los años 2019 y 202140. Argentina, que comparte valores pre-pandemia similares a los de otras economías de la misma categoría de ingreso, registró el mayor crecimiento junto a Brasil para su grupo y el segundo más elevado para el total de la muestra.
A pesar de la disparidad en el número de operaciones vía MPE por cada extracción entre los distintos países, que puede ser el resultado de diversos factores (desarrollo del sistema de pagos digitales, conectividad, habilidades digitales, composición del ingreso, entre otros), la tendencia global se consolida hacia la expansión de los pagos digitales y una menor utilización del efectivo. Esta propensión se acentúa entre los países de ingresos mediano-bajos y mediano-altos dado que parten de una base más baja que las economías de ingresos altos.
Recuadro 3 / Dispositivos y canales de iniciación41.
Las personas pueden iniciar sus pagos por medios electrónicos desde diversos canales, los cuales tienen asociado un dispositivo físico (por ejemplo, el teléfono celular). Para tener una aproximación de los dispositivos físicos más utilizados42 , se agruparon las métricas de cantidad y monto de las transacciones por cada MPE en función de su canal de iniciación. Como primer punto, entre los años 2021 y 202243, las operaciones de MPE registraron incrementos tanto en cantidad como en monto por adulto, en todos los dispositivos físicos y canales, con excepción de los ATMs44.
Gráfico 10 | Participación de los dispositivos y los canales de iniciación

Nota | Dispositivos: POS, Celular, PC (computadora) y otros (ATM, venta telefónica, token, entre otros); Canales: POS fijo, POS móvil, billeteras, “MB” mobile banking, código QR, Botón de pago “BP” (puede incorporarse en la página web del comercio, integrarse con distintas redes sociales o enviarse por correo electrónico), web, “HB” home banking, “token” (clave aleatoria), ATM, otros. “Otros”: débito directo, débito inmediato, débito automático, etc.
Fuente | BCRA, INDEC y redes.
Cantidad de operaciones. El teléfono celular ha sido el dispositivo con mayor crecimiento de pagos electrónicos medido en cantidades por adulto (68% i.a.), avanzando su participación 4 p.p. En el año 2022, de cada 10 transacciones con MPE, más de 3 se originaron en este dispositivo explicadas principalmente por aquellas ejecutadas vía mobile banking y/o billeteras digitales. La iniciación desde el celular a través de código QR también merece una mención especial, dado que evidenció la variación positiva más elevada (72% i.a.). A pesar del retroceso de la participación de operaciones en los dispositivos más tradicionales como los POS, estas unidades concentraron el número más elevado de operaciones (casi 4 de 10) en el último año.
Monto transaccionado. El teléfono celular también mostró el mayor crecimiento entre 2021 y 2022 (42% i.a.) incrementando su participación 4 p.p. Al igual que en el caso de las cantidades, las billeteras digitales y el mobile banking explicaron este comportamiento. El resto de los dispositivos perdieron terreno como consecuencia del aumento en el peso del celular. Sin embargo, las computadoras (PC) fueron las que canalizaron los mayores montos a causa de las transferencias interbancarias a través del home banking (casi 4 veces más elevado que aquellas efectuadas vía mobile banking) en el año 2022.
De la mano del elevado uso, que se incrementó en el último año , el avance del teléfono celular como dispositivo para realizar pagos electrónicos resulta esperable. La mejora en detrimento de las PC, en el caso de los montos, refleja el menor, e incluso en baja, uso relativo de esta tecnología (Ver Tabla 3).
Pagos inmediatos46.
(i) Transferencias electrónicas. Durante el primer semestre de 2023, las transferencias se consolidaron como el instrumento más elegido por los individuos para realizar pagos electrónicos (36% del total)47. Cada adulto realizó, en promedio, 8,9 transferencias por mes, lo cual más que duplica las operaciones en el mismo periodo del año anterior. Este crecimiento obedece a la dinámica de las transferencias iniciadas desde un teléfono celular48.
Además de ser el instrumento más operado, las transferencias continuaron canalizando el mayor caudal de los montos transaccionados por adulto del total de MPE (59%). Un punto a resaltar es que la intervención de las cuentas de pago (CVU) es relativamente más alta en la cantidad de operaciones que en los importes de las mismas. Por el contrario, las cuentas bancarias aportan, en términos relativos, más por el lado de los importes transferidos que por la cantidad de operaciones.
Durante el primer semestre de 2023, en promedio las personas adultas realizaron más del doble de transferencias entre cuentas bancarias y de pago que en el mismo periodo del año anterior (3,2 vs 1,2, respectivamente). De este modo, se consolida un modelo de interoperabilidad entre distintas cuentas que representó el 36% de las transferencias totales, 6 p.p. más que el primer semestre de 2022. Esta dinámica, que refleja el principio que rige la normativa del BCRA para aprovechar los efectos de red a partir de la interoperabilidad entre las cuentas bancarias y de pago, se vio acompañada por un crecimiento notorio en los montos por adulto, aunque en una menor magnitud (75% i.a.).
Tabla 6 | Pagos inmediatos

Nota | Montos a precios constantes de junio de 2023 (IPC junio de 2023 = 100). (1) CBU a CBU, interbancarias. No incluye transferencias intrabancarias. (2) Los PCT interoperables se realizan entre distintos PSP/EEFF e incluyen aquellos iniciados en QR interoperables, en POS con credenciales de tarjeta, con claves aleatorias y botón de pago. (3) Tasa de variación en negrita color negro; tasa de contribución en color verde.
Fuente | BCRA, INDEC y redes.
(ii) Pagos con Transferencia (PCT)49. Durante el primer semestre de 2023, cada adulto realizó, en promedio, 5,6 pagos mensuales vía PCT, el doble que lo operado en el mismo periodo de 2022, situándose como el segundo instrumento de MPE más elegido junto a las tarjetas de débito. Los montos por adulto canalizaron un 52% más que durante el primer semestre de 2022. La dinámica de los PCT estuvo explicada principalmente por las operaciones efectuadas entre usuarios de un mismo proveedor de servicios de pago (PSP).
Las operaciones por “PCT interoperables”50 crecieron un 45,6% i.a. en términos de cantidades por adulto, impulsadas principalmente por aquellas iniciadas a través de la lectura de códigos QR. Mientras que los PCT intra PSP continuaron su crecimiento con tasas de tres dígitos (122% i.a.) explicado en gran parte por los pagos iniciados por medio de botón de pago y web, asociados al comercio electrónico no presencial.
Tarjetas de débito. En los primeros seis meses de 2023, los pagos con tarjetas de débito continuaron con su tendencia alcista (+13%). Esta tendencia se sustentaría, entre otros factores, en la familiaridad de su uso por parte de la población, la reducción del plazo de acreditación de los fondos para los comercios junto a los descuentos que ofrecen las EEFF por las compras con este medio.
Con el regreso a las actividades presenciales, los dispositivos tradicionales POS constituyen el canal elegido para operar con tarjetas de débito (8 de cada 10 pagos vía este medio en el primer trimestre de 2023). Esta conducta se manifestó en un marco donde el stock de POS que registró operaciones permaneció sin cambios (a junio de 2023 se contabilizaron alrededor de 490.000 unidades activas) y como consecuencia, cada uno de ellos en promedio registró un 24% más de transacciones.
3.2. Modalidades de ahorro e inversión51
Las personas humanas (PH) tienen la posibilidad de asignar su dinero entre diversos productos de ahorro e inversión, en función de sus objetivos de liquidez, plazo y relación riesgo-retorno. Considerando los productos ofrecidos por entidades financieras (EEFF) y proveedores de servicios de pago (PSP), el saldo de ahorro e inversión de las PH representó el 8,5% del Producto Interno Bruto (PIB) del segundo trimestre de 202352. En dicho período, el saldo de ahorro e inversión estuvo compuesto por productos de liquidez inmediata en un 49% y de corto y mediano plazo en un 51%.
En el último año continuó acentuándose el cambio de portafolio de las PH, con una reducción en las tenencias de instrumentos de liquidez inmediata y un incremento de aquellos instrumentos de plazos y retornos más elevados. Asimismo, dentro de los saldos de liquidez inmediata también se observaron recomposiciones, con un incremento de 71,7%53 en los saldos de Fondo Comunes de Dinero(FCD)-PH54 con una caída de 13,9% en los saldos en cuenta entre junio de 2022 y de 2023.
Gráfico 11 | Productos de ahorro e inversión de PH

Nota | En el gráfico a la izquierda, los saldos de ahorro e inversión de las PH consideran productos en moneda local y extranjera. Un billón es igual a un millón de millones. Los valores internos de las barras expresan las participaciones porcentuales de cada conjunto. En el gráfico a la derecha, las barras indican variaciones porcentuales.
Fuente | BCRA, CAFCI e INDEC.
Por el contrario, los saldos invertidos en los instrumentos de corto y mediano plazo (plazos fijos tradicionales, productos en UVA y otros FCI) presentaron un crecimiento de 7,1%. Los saldos en plazos fijos tradicionales y en los otros Fondos Comunes de Inversión aumentaron en 16,4% y 15%, respectivamente, pero los saldos de los productos en Unidades de Valor Adquisitivo (UVA) disminuyeron en 59,1%.
Los aumentos de la tasa de interés mínima de plazos fijos en pesos para PH durante el 2022 y el primer semestre de 2023 tuvieron un impacto positivo en el ahorrista minorista. Estos retornos más atractivos serían uno de los factores que explican el crecimiento en los saldos de los depósitos a plazo fijo y los FCD.
Asimismo, la mayor disponibilidad de instrumentos de ahorro e inversión, la creciente tenencia conjunta de cuentas y la interoperabilidad entre los distintos tipos de cuenta, permitió a los individuos destinar recursos hacia alternativas de ahorro activo, dejando cada vez un menor volumen de saldo inmovilizado en sus cuentas, registrando valores mínimos (44%) en el segundo trimestre de 2023. Sin embargo, aún representan una porción muy relevante dentro de los productos de ahorro e inversión de las PH.
Plazos fijos. En junio de 2023, la cantidad de plazos fijos en pesos vigentes de PH se ubicó en 8,2 unidades cada 100 cuentas bancarias , alcanzando el punto más alto en los últimos 4 años. Entre junio de 2022 y de 2023 la métrica en cuestión creció 45% debido a un aumento significativo de la cantidad de plazos fijos del 54%. Este crecimiento también se refleja en una mayor participación de los plazos fijos en moneda nacional en los saldos totales de los productos de ahorro e inversión, la cual pasó de 37% en junio de 2022 a 43% en junio de 2023.
El elevado crecimiento interanual en la cantidad de colocaciones junto a un incremento inferior en los saldos totales de este producto (13%) produjeron una caída de 26% en los saldos promedios colocados en plazo fijo. Estos aumentos se encuentran en línea con el crecimiento en el número de titulares del sector privado no financiero (SPNF) de operaciones de plazo fijo, los cuales pasaron de 3,5 millones en junio de 2022 a 4,6 millones en marzo de 202358 .
Gráfico 12 | Plazos fijos respecto al parque de cuentas bancarias y saldos promedio

Nota | La cantidad de certificados de plazos fijos contempla plazos fijos en ARS y UVA sin opción de precancelación. El gráfico de la izquierda considera las cuentas bancarias de aquellas EEFF que ofrecen PF. “PF”: plazo fijo.
Fuente | BCRA, CAFCI, COELSA e INDEC.
Asimismo, a partir del evento de la pandemia COVID-19, diversas EEFF habilitaron la posibilidad de constituir plazos fijos a través de canales electrónicos, las cuales aportaron a la dinámica positiva de los plazos fijos59. En términos de saldo, el 83% de los saldos en plazos fijos en moneda nacional a junio de 2023, está concentrado en canales electrónicos60.
Gestión de la liquidez. En los últimos 3 años se registró un crecimiento en los saldos de FCD desde PSP y desde EEFF respecto a los saldos en cuentas de pago y en cuentas bancarias, presentando aumentos interanuales de 90% y 81% a junio de 2023. La creciente digitalización que se manifiesta a través de la mayor cantidad de aplicaciones de bancos y billeteras virtuales y la necesidad de conservar el poder adquisitivo impulsaron el crecimiento de los saldos en este producto de inversión, tanto en valor como con respecto a los saldos en cuenta. Sin embargo, debido a la alta liquidez de los FCD, su rendimiento es inferior al de los plazos fijos61 , lo cual desalienta que los saldos suscritos en FCD tengan una participación importante dentro de la cartera de productos de ahorro e inversión de las PH.
Gráfico 13 | Saldos en FCD

Fuente | BCRA, CAFCI e INDEC.
A junio de 2023, los saldos en FCD desde PSP por cada $100 en cuentas de pago superaron en 20 veces a los saldos en FCD desde EEFF en términos de los saldos en cuentas bancarias. Esta disparidad podría deberse a varios factores: (i) los PSP ofrecen los FCD como única opción de inversión, por lo que la persona que toma la decisión de invertir deriva los fondos únicamente a estos instrumentos; (ii) la simplificación en el proceso de suscripción y en la operatoria de los FCD desde PSP junto con la facilidad para convertir estos fondos en dinero líquido para transacciones incentivó la constitución de FCD desde PSP con saldos que anteriormente se mantenían en las cuentas de pago. Así, la cantidad de cuentas de PH en PSP con saldos en FCD pasaron de 4,9 millones en junio de 2022 a 8,8 millones en junio de 2023 (+80%). Esta adhesión creciente se refleja en que el 32,7% de las cuentas de pago registraron saldos en FCD en junio de 202362.
En cambio, las EEFF ofrecen una mayor variedad de instrumentos de ahorro e inversión. Ello generaría que las personas elijan asignar su dinero hacia alternativas más rentables como los plazos fijos en pesos, destinando una baja proporción de saldos hacia FCD desde EEFF. Además, los saldos en cuentas bancarias superan en 26 veces a los de las cuentas de pago, reduciendo el coeficiente entre saldos en FCD y saldos de cuentas en EEFF. Esto reflejaría las preferencias de las personas de dejar su saldo inmovilizado en cuentas bancarias más que en cuentas de pago, debido a las mayores facilidades para operar, la posibilidad de contar con el efectivo y la mayor seguridad derivada del marco regulatorio.
Cabe recordar que un 40% de las personas con al menos una cuenta bancaria posee solo este tipo de cuenta. Estos individuos tienden a realizar menos operaciones y probablemente hagan un menor uso de sus cuentas para constituir FCD, lo que traccionaría a la baja el coeficiente de saldos en FCD con respecto a saldos en cuentas en EEFF.
4. Crédito
4.1 Crédito a personas humanas
La cantidad de personas humanas (PH) con financiamiento en el sistema financiero ampliado (SFA) alcanzó 19,7 millones en junio de 2023, lo cual implica que 55,4% de la población adulta tenía al menos un financiamiento . De esta forma, dicho conjunto registró un aumento neto de 0,9 p.p. con relación a diciembre de 2022, manteniendo la tendencia a la incorporación de nuevos deudores, pero a un ritmo menor que el observado en períodos anteriores. En particular, durante el segundo trimestre del año se evidencia una estabilización en el porcentaje de la población con crédito.
El saldo total de financiamiento de PH en el SFA se redujo 8% en términos reales, lo que derivó en una caída del saldo promedio por deudor. De esta forma, el SFA consolida una dinámica en la que se incorporan nuevos deudores, pero se reduce el saldo promedio de financiamiento. Este fenómeno se encuentra impulsado principalmente por los otros proveedores no financieros de crédito (OPNFC) que otorgan préstamos personales de forma digital y por montos reducidos.
Gráfico 14 | Financiamiento del SFA a personas humanas

Nota | Tvi: tasa de variación interanual.
Fuente | BCRA e INDEC.
Proveedores de crédito64. Entre las entidades financieras (EEFF), a junio de 2023, los bancos privados brindaban financiamiento a 9,6 millones de personas (27% de la población adulta), mientras que los bancos públicos alcanzaban 4,9 millones (13,8% de la población adulta). Respecto a diciembre de 2022, ambos grupos institucionales registraron un incremento de 2% en la cantidad de personas adultas a las que brindan financiamiento. En términos de saldos65, tanto los bancos privados como los públicos profundizan su tendencia a la disminución del monto financiado promedio por deudor, que en el primer semestre del 2023 alcanzó 7% para el primer grupo y 10% para el segundo. No obstante, los bancos públicos continúan ofreciendo el mayor nivel de financiamiento del SFA, superando en 40% el saldo promedio por deudor de bancos privados.
Dentro del conjunto de los proveedores no financieros de crédito (PNFC), las emisoras de tarjetas de crédito no bancarias (ETCNB) financiaban a 5,3 millones de personas (15% de la población adulta), valor que se mantiene sin variaciones considerables desde diciembre de 2020. El saldo promedio por deudor financiado por las ETCNB mostró mayor estabilidad en el tiempo que el de los otros grupos institucionales. A pesar de ello, durante el primer semestre del año el saldo promedio por deudor ha experimentado una reducción de 13% y sigue siendo considerablemente menor que el de las EEFF.
Gráfico 15 | Porcentaje de la población adulta con financiamiento y saldo promedio por deudor66

Nota | Gráfico de la izquierda: la suma de los porcentajes no coincide con los valores del gráfico 14 por la contabilización de deudores únicos a nivel de grupo institucional (ver nota al pie 63).
Fuente | BCRA e INDEC.
Los OPNFC, por su parte, continuaron con su tendencia de incorporar nuevos deudores, alcanzando la cifra de 6,7 millones de personas asistidas a junio de 2023 (7% de incremento en el primer semestre del año). No obstante, se observa una reducción marcada y constante en el saldo promedio por deudor, que entre diciembre 2022 y junio 2023 registró una disminución de 19% (53% con respecto a diciembre 2020) y sitúa al saldo promedio por deudor de OPNFC en un valor que representa tan solo un 13% del saldo promedio por deudor de las EEFF. De esta forma, si bien los OPNFC son el grupo institucional que más personas ha incorporado al financiamiento formal (177% de incremento en la cantidad de personas asistidas entre diciembre de 2020 y junio de 2023), también son el grupo que registra la mayor caída en el saldo financiado promedio por deudor67.
Entre los hechos estilizados de los últimos años se destaca la brecha en el saldo medio de financiamiento entre bancos públicos y privados. Desde fines de 2017 hasta el cierre del primer semestre de 2023 el saldo promedio adeudado a bancos públicos fue, como mínimo, 40% superior que el adeudado a bancos privados. Esta diferencia es atribuible a personas que poseen elevados niveles de financiamiento, en el orden o superior a los $10 millones, y cuya representación es más significativa en los bancos públicos que en los privados. Al mismo tiempo esta diferencia también se replica en la proporción de la deuda que se encuentra respaldada con garantías. El porcentaje de deuda garantizada es significativamente superior en el caso de los bancos públicos que en el de los privados68. De este modo, la diferencia en el saldo promedio adeudado no responde a sesgos suaves en la distribución de los saldos de financiamiento por tramos entre los dos grupos de entidades sino, por el contrario, a concentraciones en determinados tramos. Esto responde a que los bancos públicos registraron una mayor oferta de productos de financiamiento a largo plazo.
A junio de 2023, 43% del total de deudores tenía deuda exclusivamente con EEFF (es decir, que no registraba financiamiento simultáneamente con un PNFC), mientras que 28% registraba deuda sólo con PNFC. El grupo de personas con financiamiento de ambos conjuntos de proveedores alcanzaba 25,2%. A lo largo de la serie, y en línea con el mencionado aumento de deudores registrado para el conjunto de PNFC, se observa una reducción de la proporción de personas que registraban financiamiento sólo con EEFF, mientras que crece la participación de personas con deuda sólo en PNFC. Estos datos confirmarían que los nuevos deudores que se incorporaron al financiamiento de PNFC en los últimos años son mayoritariamente personas que no contaban con deuda en EEFF.
Por otro lado, a junio de 2023 un 55,5% del saldo total de deuda se concentraba en personas con deuda únicamente en EEFF en comparación de 5,2% del saldo para personas con deuda únicamente en PNFC. De esta forma, en línea con lo mencionado anteriormente, se evidencia una menor asignación de saldo de financiamiento por parte de los PNFC.
Con esta distribución, surge el interrogante de si el acceso al financiamiento con un conjunto de proveedores por sobre otro responde a factores que influyen y/o limitan las posibilidades de acceso (por ejemplo, el nivel de ingresos o la condición laboral69).
Gráfico 16 | Distribución de deudores y saldo de deuda

Nota | Sólo EEFF: indica que los deudores registraron financiamiento sólo en EEFF (y no en PNFC, aunque pueden registrar deuda en fideicomisos financieros -FF). Sólo PNFC: indica que los deudores registraron financiamiento sólo en PNFC (y no en EEFF, pudiendo registrar deuda o no en FF). EEFF y PNFC: indica financiamiento en simultáneo de EEFF y PNFC (pudiendo registrar deuda o no en FF). Resto: comprende a los deudores que registraron deuda únicamente en FF.70
Fuente | BCRA.
Características del financiamiento. En términos del tipo de asistencia, la tarjeta de crédito es el instrumento de financiamiento más extendido, alcanzando al 39,2% de la población adulta en junio de 2023. Durante el primer semestre del año, la cantidad de deudores por tarjeta de crédito se mantuvo en un nivel relativamente constante mientras que el saldo promedio por deudor registró una caída del 7% en el mismo período. En los últimos años, el financiamiento por tarjeta de crédito muestra una leve tendencia a la incorporación de nuevos deudores, con un saldo promedio por deudor en disminución.
Los préstamos personales se encuentran en segundo lugar, con un alcance del 29,6% de la población adulta en junio de 2023. Durante el primer semestre de 2023, este indicador registró un incremento de 0,9 p.p. y acumula 8,7 p.p. de aumento entre diciembre de 2020 y junio de 2023. Esto implica que unas 3,3 millones de PH adicionales obtuvieron crédito durante el último período mencionado, ubicando a los préstamos personales como el tipo de asistencia con mayor crecimiento. Este tipo de financiamiento continúa con un marcado crecimiento impulsado principalmente por los OPNFC que ofrecen préstamos de consumo de forma digital.
No obstante, el saldo promedio por deudor en valores constantes registra una caída de 16% durante el primer semestre de 2023, reducción que alcanza el 49% si se compara junio de 2023 con diciembre de 2020. Este desempeño muestra que los nuevos préstamos otorgados se realizan por montos considerablemente menores. Si bien ambos tipos de asistencia analizados registran reducciones en el saldo promedio, la caída en los préstamos personales resulta más constante y pronunciada, lo que generó que desde septiembre de 2021 el saldo por este tipo de préstamos resulte inferior al de las tarjetas de crédito.
Gráfico 17 | Financiamiento del SFA por tipo de asistencia

Fuente | BCRA e INDEC
Una de las diferencias entre los préstamos personales de EEFF y de PNFC es en el costo de financiamiento para los usuarios71. El Régimen de Transparencia del BCRA recopila, entre otras características del financiamiento, el Costo Financiero Efectivo Total (CFT) máximo ofrecido por los proveedores de crédito. De acuerdo con estos datos72, el CFT máximo para préstamos personales establecido por los PNFC, en promedio, casi duplicaba al de las EEFF en junio de 2023 (588% para PNFC vs. 321% para EEFF). En los últimos 24 meses, el CFT máximo promedio resultó consistentemente más elevado para los PNFC que para las EEFF, aunque la diferencia entre ambos CFT muestra una tendencia a la reducción. En junio de 2021, el CFT máximo promedio de PNFC era 3,5 veces el de EEFF, mientras que en junio de 2023 esa relación era de 1,8 veces.
Gráfico 18 | Costo financiero efectivo total máximo de préstamos personales

Nota | Los datos corresponden a una muestra de los 15 proveedores que registran más cantidad de deudores a junio-23 de cada grupo (EEFF y PNFC) y que reportan datos de préstamos personales al Régimen de Transparencia del BCRA. Se incluyen préstamos personales en pesos a PH. Los préstamos pueden ser ofrecidos a nivel nacional o de determinadas provincias y estar dirigidos al público en general o a determinados grupos (por ejemplo, personas que cobran sus haberes en la EEFF o personas con determinada condición laboral).
Fuente | BCRA.
Características de los deudores.
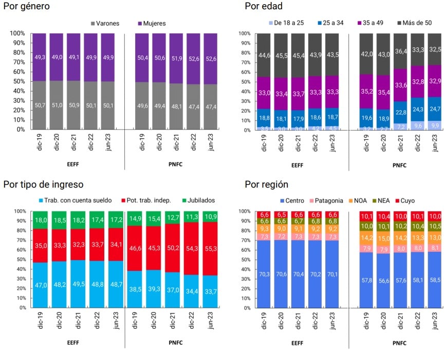
*Género. A junio de 2023, la cartera de deudores de las EEFF se encontraba dividida de forma prácticamente equivalente entre varones (49,9%) y mujeres (50,1%)73 . Estas proporciones se han mantenido relativamente constantes a lo largo de los últimos años, aunque si se compara la situación actual con la de diciembre 2019, se observa una mejora de 0,6 p.p. en la participación de las mujeres. Por su parte, la cartera de deudores de los PNFC registra una mayor proporción de mujeres (52,6% vs. 47,4% de varones). Asimismo, se observa que la participación de las mujeres ha aumentado progresivamente durante los últimos años, habiendo partido de una situación prácticamente equivalente en diciembre de 2019. De esta forma, puede inferirse que, si bien el aumento en la cantidad de deudores se registra en ambos géneros, las mujeres tendrían mayor preponderancia entre las nuevas personas con financiamiento.
*Edad74. Los PNFC concentraron una mayor proporción de sus deudores entre las personas jóvenes. A junio de 2023, el grupo de deudores de entre 18 y 25 años representaba un 9,9% del total de deudores de PNFC, mientras que para los deudores de EEFF ese valor alcanzaba el 4,5%. Para deudores menores de 34 años, los PNFC sumaban 34,6% y las EEFF 23,2%. El rango etario intermedio, de personas de entre 35 y 49 años, concentraba valores similares en ambos conjuntos de proveedores, mientras que para las personas mayores de 50 se evidencia una mayor participación en EEFF que en PNFC (43,5% vs. 32,5%). Con estos valores, se observa un claro enfoque de los PNFC hacia la población más joven y de las EEFF hacia las personas de más de 50 años, comportamiento que los PNFC han profundizado en los últimos años. El componente fuertemente digital de los principales OPNFC es un factor relevante para la incorporación de personas jóvenes al financiamiento.
Gráfico 19 | Distribución de deudores según características socio-demográficas

Nota | Trabajadores con cuenta sueldo comprende a todos los deudores que cobran sus haberes en una cuenta sueldo. Potenciales trabajadores independientes corresponde a los deudores de entre 15 y 64 años que no registran una cuenta sueldo. Jubilados corresponde a los deudores de 65 años y más que no cuentan con una cuenta sueldo.
Fuente | BCRA.
*Tipo de ingreso. Combinando la existencia (o no) de acreditación de una remuneración en cuenta sueldo con la edad, se estima la fuente de ingreso de los deudores y se analiza esta característica entre los distintos proveedores de crédito. La acreditación en una cuenta sueldo indica la tenencia de un trabajo en relación de dependencia. Por otra parte, los deudores sin cuenta sueldo en edad laboral son personas que contarían con algún tipo de ingreso proveniente de trabajo independiente, mientras que los mayores de 65 sin cuenta sueldo contarían con un haber jubilatorio por haber alcanzado la edad correspondiente.
De esta forma, se observa que, a junio de 2023, un 48,7% del total de deudores de EEFF era titular de una cuenta sueldo, mientras que, para los PNFC, este valor alcanzaba el 33,7% del total de los deudores. Los potenciales trabajadores independientes tienen mayor preponderancia entre los PNFC (alcanzando un 55,3% del total), mientras que para las EEFF el grupo con mayor peso son los trabajadores con cuenta sueldo. La mayor proporción de trabajadores con cuenta sueldo entre los deudores de EEFF puede estar asociada al hecho de que los haberes se pueden cobrar a través de EEFF y no a través de PNFC. En general, las EEFF ofrecen junto con la cuenta sueldo un paquete de productos que incluye tarjetas de crédito, lo que contribuye a aumentar la cantidad de personas con financiamiento en EEFF.
A su vez, los jubilados y pensionados tienen mayor peso entre los deudores de EEFF que de PNFC. El cobro de haberes jubilatorios en cuentas bancarias también contribuye a aumentar la participación de este grupo entre los deudores de EEFF, mientras que las cuestiones relativas a las habilidades digitales de los adultos mayores pueden incidir negativamente sobre el acceso al financiamiento de los PNFC digitales. Observando la serie de tiempo, la distribución de deudores por tipo de ingreso se mantiene relativamente estable para EEFF, mientras que para PNFC los potenciales trabajadores independientes fueron aumentando su participación en detrimento de los trabajadores en relación de dependencia y los jubilados.
*Región. Por último, en términos de distribución geográfica de los deudores, a junio de 2023 las EEFF concentraban una mayor proporción de sus deudores en la región centro, con un 70,1% del total respecto del 58,5% de los PNFC . En segundo lugar, ambos conjuntos de proveedores ubicaban a la región del Noroeste Argentino (con 9,2% y 13% para EEFF y PNFC, respectivamente), pero el tercer lugar para las EEFF era la región Patagónica mientras que para los PNFC dicha región registraba la menor proporción de deudores. Para el caso de la distribución por regiones, no se evidencian cambios significativos en la serie a lo largo del tiempo.
4.2. Crédito a las unidades productivas
La visión global de la inclusión financiera reconoce al conjunto de micro, pequeñas y medianas empresas (MiPyMEs) como un grupo vulnerable en términos de acceso y uso de los servicios financieros. En particular, la falta de acceso a financiamiento es una barrera relevante en el proceso de expansión de las MiPyMEs. La falta de garantías, los requisitos de documentación76, la ausencia de datos para evaluar su solvencia, los elevados niveles de informalidad y la incertidumbre sobre el contexto macroeconómico77, son algunos de los factores explicativos de dicha restricción.
En las etapas tempranas, las empresas tienden a utilizar recursos propios para continuar con el ciclo de negocios. Luego, a medida que emprenden planes de crecimiento que requieren de inversión y mejoras de productividad, aumenta la necesidad de financiamiento externo. Por definición, el conjunto MiPyME condensa unidades productivas que se encuentran en distintas etapas del ciclo de expansión de la empresa y, por tal motivo, enfrentan diferentes desafíos en su proceso de inclusión financiera.
Para afrontar estos problemas a lo largo de los años el BCRA emitió regulaciones orientadas a mejorar el crédito de las MiPyMEs, las cuales pueden clasificarse en tres grupos:
-
- Inducir a las entidades financieras (EEFF) a ampliar su oferta de crédito78:
Línea de Financiamiento para la Inversión Productiva (LFIP)79 : fija una oferta de recursos mensual que las EEFF deben direccionar a las MiPyMEs a una tasa de interés que está sujeta a un tope máximo. Para el fondeo de esta línea, las EEFF deben destinar un porcentaje de los depósitos del Sector Privado No Financiero (SPNF).
Reducción de los requerimientos de efectivo mínimo cuando:
– el crédito a MiPyMEs en el total de la cartera de la EF representa 4% o más;
– el crédito es otorgado a MiPyMEs no informadas por EEFF en la “Central de deudores del sistema financiero” en diciembre de 2020.
Otorgamiento de garantías: las garantías actúan como respaldo facilitando el acceso de las MiPyMEs al financiamiento, dado que en caso de que la empresa no pueda cancelar la deuda un tercero afrontará el pago. La normativa establece incentivos para que las EEFF otorguen financiamiento a MiPyMEs con avales de Sociedades de Garantías Recíprocas (SGR). Al mismo tiempo, establece requisitos financieros para la constitución del fondo de riesgo y de exposición al riesgo de las SGR a las MiPyMEs.
- Inducir a las entidades financieras (EEFF) a ampliar su oferta de crédito78:
-
- Creación de entornos para la comercialización de nuevos instrumentos financieros:
– Sistema de circulación abierta (SCA) para la circulación extrabursátil, negociación, transmisión y cancelación de las Facturas de Crédito Electrónicas MiPyMEs (FCEM).
– Central de FCEM impagas al vencimiento.
- Creación de entornos para la comercialización de nuevos instrumentos financieros:
- Simplificación en la gestión crediticia:
– Financiaciones de bajo monto donde sólo se exige documentación referida a la identificación del cliente (monto máximo: 8 salario mínimo vital y móvil -SMVM-);
– Uso de modelos de “credit scoring” para medir el riesgo y/o la probabilidad de incumplimiento con el fin de sustituir la demostración de ingresos mediante documentación específica; y
– Préstamos a microemprendedores (monto máximo: 50 SMVM) y financiaciones a Instituciones de Microcrédito.
Métricas generales. En términos de acceso al crédito, sobre un total de 1,6 millones de empresas con certificado MiPyME, un 62% (1 millón) contaba con financiamiento en el sistema financiero ampliado (SFA) en junio de 202380 , mientras que dicha relación pasa a 48% si se toma como referencia la cantidad de empresas relevadas en el Censo Nacional Económico 2020-202181(CNE 20-21). Las empresas pequeñas y medianas registraban niveles de acceso al crédito del SFA mucho más elevados que las empresas micro, cualquiera sea su forma de constitución (persona humana o jurídica). Cabe remarcar que en el caso de las empresas pequeñas y medianas constituidas como personas jurídicas (PJ), el acceso a financiamiento (sin contemplar el monto del mismo) era pleno, llegando al 100% de las mismas. Estos resultados se encuentran en línea con diferentes investigaciones que señalan que el tamaño de la empresa está positivamente asociado con el nivel de endeudamiento82.
Gráfico 20 | Puntos de referencia sobre el financiamiento de MiPyMEs

Nota | Los ratios sobre el PIB están calculados tomando: (i) numerador: último mes del trimestre; y (ii) denominador: PIB del trimestre.
Fuente | Datos Abiertos de Desarrollo Productivo, INDEC y BCRA.
Por otro lado, el crédito del SFA a MiPyMEs tuvo un mejor desempeño que el crédito al sector privado no financiero (SPNF) una vez superado el período crítico de la pandemia COVID-19. La evolución del financiamiento desde fines de 2019 a nivel de tamaño muestra, al menos, tres comportamientos diferenciados83. Por un lado, los saldos de financiamiento crecieron al comienzo de la pandemia COVID-19 para los tres tamaños de empresas, micro, pequeñas y medianas, y se sostuvieron aproximadamente hasta fines de 2020. Por otro lado, las empresas pequeñas son las que mostraron una tendencia creciente en los saldos de financiamiento en los últimos años. Por último, las empresas de tamaño micro y medianas redujeron los saldos de crédito a partir de 2022, aunque en el caso de las micro exhibieron una recuperación en el margen.
La diferencia de comportamiento entre el crédito al SPNF y a MiPyMEs está influenciada por normativas específicas que tienen como objetivo orientar financiamiento al sector MiPyME. Cabe señalar que el financiamiento a MiPyMEs a través de las líneas específicas absorbe parcialmente los fondos provenientes de los depósitos, dado que por cada $100 pesos que pueden prestar las EEFF, alrededor de $10,7 deben asignarse como mínimo a crédito MiPyMEs84.
La cantidad de MiPyMEs con financiamiento en el SFA alcanzó 1 millón a junio de 2023 y registró un aumento neto cercano a 57 mil unidades productivas con relación a junio de 2022. La distribución por tamaño indica que las empresas micro concentraron más del 83% de las MiPyMEs con crédito en el SFA. De esta participación, 73 puntos porcentuales (715.000 firmas) corresponden a MiPyMEs de personas humanas (PH).
Gráfico 21 | MiPyMEs con financiamiento del SFA

Fuente | BCRA.
Por otro lado, el saldo de financiamiento de las MiPyMEs en el SFA ascendió a $6 billones en junio de 2023, mostrando una caída interanual de 5,1% a valores constantes85. De manera contrapuesta a la cantidad de empresas, las empresas medianas concentraron la mayor participación en el saldo total de financiaciones. Asimismo, las empresas pequeñas tuvieron un rol protagónico dado que registraron un aumento relevante en la participación en los saldos de financiamiento totales86.
Asistencias de crédito. El financiamiento de las MiPyMEs en el SFA está principalmente vinculado a líneas de crédito de corto plazo, cuyo destino está asociado a capital de trabajo. La participación del capital de trabajo en el total de financiamiento pasó de 49% en enero de 2019 a 65% en junio de 2023. Como contrapartida, las financiaciones de mayores montos y plazos más largos fueron perdiendo terreno a costa de los créditos de menor plazo y monto.
Gráfico 22 |Financiamiento de las MiPyMEs por grupo de asistencias87

Fuente | BCRA.
La utilización del financiamiento a través de documentos (a sola firma, descontados y comprados) predomina a lo largo de la serie como la asistencia más relevante en términos de saldo. La preferencia de las MiPyMEs por este tipo de crédito está influenciada por la dinámica de su tasa de interés. A lo largo de la serie, la tasa de interés de documentos se encuentra por debajo de otras alternativas de financiamiento. Adicionalmente, la LFIP influye en la dinámica de la tasa de interés de los documentos dado que establece una tasa de interés máxima para el financiamiento de capital de trabajo que, en una porción relevante, se canaliza a través de documentos.
Gráfico 23 | Financiamiento de las MiPyMEs asociado a capital de trabajo neto de tarjeta de crédito

Fuente | BCRA.
Financiamiento en el marco de la LFIP. El saldo de las financiaciones otorgadas mediante la LFIP alcanzó aproximadamente a $1.721 miles de millones en junio de 202388 (alrededor de 28,5% del total del saldo de financiamiento a MiPyMEs). La cantidad de empresas y saldo de financiamiento en el marco de la LFIP están distribuidas por tamaño de manera similar al financiamiento general del SFA. Más del 50% del saldo de financiamiento fue otorgado a empresas medianas89 , mientras la mayor cantidad de empresas alcanzadas fueron de tamaño micro y pequeñas.
Una manera de analizar el impacto de la LFIP en términos de inclusión financiera es a través de la participación de la LFIP respecto del financiamiento total del SFA. El peso relativo del crédito vía LFIP resultó más significativo en las empresas pequeñas y medianas que en empresas micro. Sin embargo, en el caso de las empresas micro, dicha proporción pasó del 12,4% en octubre de 2020 a 17,4% en junio de 2023, registrando el crecimiento más alto de los 3 tamaños. En términos generales, una porción pequeña del financiamiento de empresas micro cuenta con las condiciones favorables respecto del costo del financiamiento que ofrece la LFIP.
La baja participación de la LFIP en el crédito total de las empresas micro podría devenir del uso intensivo de la tarjeta de crédito como medio de financiamiento90, la cual no puede canalizar crédito a través de la LFIP. Por otro lado, los productos de crédito utilizados para canalizar financiamiento a través de la LFIP, como el descuento de documentos y préstamos personales, son utilizados por una cantidad reducida de empresas micro, lo cual limita el impacto de la LFIP en el saldo de crédito total.
Gráfico 24 | MiPyMEs y otras empresas con financiamiento en el marco de la LFIP

Fuente | BCRA.
Apartado 1 / Digitalización, pandemia y apertura de cuentas: explorando el acceso de los jóvenes a los servicios financieros
En el Informe de Inclusión Financiera anterior mostramos que la cantidad de personas con cuentas bancarias y/o de pago pasó de 27,6 millones en marzo de 2019 a 35,1 millones en diciembre de 2022, lo que representó un crecimiento de 27%. El grupo etario que más contribuyó a este aumento fue el de 15 a 19 años, con 6 p.p., en tanto que con casi 3,5 p.p. lo hizo el grupo etario siguiente (20 a 24 años).
Dada la fluidez observada en el comportamiento de las personas jóvenes resulta natural preguntarse: ¿Se comportan de modo distinto a los adultos a la hora de iniciarse como usuarios de servicios financieros? ¿Influyen sus características y el contexto que los rodea en su comportamiento?
Responder este tipo de preguntas enfrenta desafíos adicionales que impone la ventana de observación disponible. Entre 2019 y 2022 convivimos con dos procesos significativos, relacionados pero distintos. Uno estructural que se aceleró, el despliegue de la tecnología como medio de acceso a los servicios financieros. Otro coyuntural, aunque de fuerte impacto, que fue la irrupción de la pandemia COVID-19.
Este apartado, resume los principales resultados de un documento de investigación de la Gerencia Principal de Inclusión Financiera del BCRA que explora posibles respuestas a los desafíos previamente enunciados. La investigación involucró la construcción de modelos econométricos de datos de “tiempo hasta un evento” a nivel de individuo considerando como ventana de observación el periodo comprendido entre el primer trimestre de 2019 y el cuarto de 202292.
La variable que se busca explicar es la cantidad de “tiempo” que transcurre hasta que una persona realiza la apertura de una cuenta, sea en una entidad financiera (EF y EEFF en plural) o en un proveedor de servicios de pago que ofrece cuentas de pago (PSP). Estos modelos arrojan, entre otras variables, la probabilidad acumulada de que en un momento determinado de tiempo la población que no tenía una cuenta continúe sin tenerla o, complementariamente, que pase a tenerla. Trabajando con una serie de muestras aleatorias representativas estratificadas de las personas de entre 13 y 85 años se aplican metodologías de uso habitual en los estudios de tiempo hasta un evento que son las herramientas de elección cuando la respuesta al “por qué” requiere prioritariamente una respuesta al “cuándo”93.
Existen dos condicionantes para identificar el tiempo bajo estudio (t) en este análisis: 1) la ventana de observación y 2) la edad legal para poder acceder al servicio financiero de referencia. Es por esto que hemos escogido trabajar con dos definiciones distintas de t=0. En la primera instrumentación el momento t=0 corresponde al primer trimestre calendario para el cual disponemos de información (primer trimestre de 2019). En la segunda, t=0 corresponde al momento en que la persona se hallaba al límite de cumplir los 13 años para la apertura de cuentas. En ambos casos el tiempo evolucionará en trimestres (dada la naturaleza de los datos disponibles) pero con un significado distinto en cada caso.
Consecuentemente, la variable “tiempo” tiene dos significados en función del análisis propuesto. En el primer caso se trata del tiempo calendario (evolución de los trimestres entre 2019 y 2022) en tanto que, en el segundo caso, representa la edad de las personas comenzando en 13 años y terminando en 1694. Así, la evolución del tiempo bajo análisis refiere al paso de tiempo cronológico primero; por lo que dos personas presentes en el mismo momento t coinciden en el tiempo, pero pueden tener características distintas, entre ellas su edad . En el segundo caso, dos personas que coinciden en un momento t tendrán la misma edad, aunque pueden haberla alcanzado en dos momentos distintos del tiempo calendario.
Así, para el presente apartado se trabajó con dos tipos de muestras. Una comprende todas aquellas personas que en el primer trimestre de 2019 poseían 13 o más años, no tenían el tipo de cuenta (bancaria o de pago) correspondiente al proveedor de cuentas de referencia, y hasta 85 años para la primera alta de cuenta. En el segundo caso, comprende a las personas de 13 a 16 años entre 2019 y 2022 y que no poseían cuenta con el correspondiente proveedor de cuentas de referencia en el primer trimestre de 2019.
Adopción de cuenta por parte de la población en general
Los modelos no paramétricos de supervivencia arrojan los resultados siguientes:
- La adopción de cuentas por parte de la población no es uniforme en el tiempo. Por ejemplo, eventos como la pandemia COVID-19 tuvieron un impacto positivo. Más recientemente, entre el primer y tercer trimestre de 2022, volvió a aumentar la probabilidad de apertura de cuentas.
- Un periodo de 4 años completos no alcanza para que todo el conjunto de personas sin cuenta pase a tener una, aunque una mayoría resultó financieramente incluida en términos de tenencia de cuentas.
- La adopción de cuentas durante la pandemia COVID-19 fue explicada principalmente por las entidades financieras (EEFF). No se observan diferencias significativas entre entidades públicas y privadas96 . Por su parte, en el caso de los Proveedores de Servicios de Pago (PSP) la adopción de cuentas durante la pandemia COVID-19 no fue un evento singular sino un proceso sostenido a lo largo del tiempo.
Gráfico A.1.1. | Curvas de adopción por grupos de entidades

Nota | Muestra: No 2019T1 y 13 y más en 2019T1 hasta 85 de edad primer alta. Tiempo bajo análisis: trimestre – Curvas de adopción (falla de Kaplan-Meier). Las curvas de adopción muestran la probabilidad acumulada de que las personas que no poseían cuenta a comienzos del primer trimestre de 2019 pasen a tenerla en los períodos siguientes.
Fuente | Estimaciones propias en base a datos de COELSA.
Explorando el comportamiento diferencial de jóvenes y adolescentes
Los resultados previos se acentúan al separar los individuos en distintos grupos de personas, primero entre “jóvenes” (13 a 29 años) y “adultas” (30 a 85 años) y, segundo, entre “adolescentes” (13 a 16 años) y “maduras” (17 a 85 años).
- La desagregación en grupos de edades contrapuestas muestra que fueron las personas maduras, y en menor medida los jóvenes, quienes explican la adopción de cuentas en EEFF al inicio de la pandemia COVID-19, en tanto la adopción de los adolescentes fue más reciente (a partir de 2022).
- En el caso de los PSP la adopción ha sido gradual, aunque en todos los trimestres fue superior en el caso de los jóvenes y adolescentes que en el caso de las personas adultas o maduras.
- Estos resultados sugieren que los grupos poblacionales se comportan diferente. Dichas hipótesis fueron luego estadísticamente evaluadas a partir de un test de rangos logarítmicos97. Los test refutaron la hipótesis de igualdad de comportamientos.
Gráfico A.1.2. | Curvas de adopción según grupos etarios (personas jóvenes vs. adultas)

Nota | Muestra: No 2019T1 y 13 y más en 2019T1 hasta 85 de edad primer alta. Tiempo bajo análisis: trimestre – Curvas de adopción (falla de Kaplan-Meier). Las curvas de adopción muestran la probabilidad acumulada de que las personas que no poseían cuenta a comienzos del primer trimestre de 2019 pasen a tenerla en los períodos siguientes.
Fuente | Estimaciones propias en base a datos de COELSA.
Gráfico A.1.3. | Curvas de adopción según grupos etarios (personas adolescentes vs. maduras)

Nota | Muestra: No 2019T1 y 13 y más en 2019T1 hasta 85 de edad primer alta. Tiempo bajo análisis: trimestre – Curvas de adopción (falla de Kaplan-Meier). Las curvas de adopción muestran la probabilidad acumulada de que las personas que no poseían cuenta a comienzos del primer trimestre de 2019 pasen a tenerla en los períodos siguientes.
Fuente | Estimaciones propias en base a datos de COELSA.
Adopción de cuentas según la edad de los adolescentes
El segundo tipo de muestra empleado para las estimaciones sugiere que la adopción de cuentas bancarias por parte de los adolescentes comienza principalmente a partir de los 16 años. Por el contrario, la adopción es más temprana y gradual en el caso de cuentas de pago, y tiende a aumentar a medida que crece la edad de estas personas.
Para una misma edad, la adopción de los adolescentes es más alta en el caso de los PSP que en el caso de las EEFF. Estas diferencias podrían obedecer tanto a la preferencia de los jóvenes por las cuentas de pago como a que las EEFF comenzaron más tardíamente a ofrecer cuentas para adolescentes mediante apertura electrónica.
Gráfico A.1.4. | Curvas de adopción según edad de los adolescentes

Nota | Muestra: No 2019T1 y 13 y más en 2019T1 hasta 85 de edad primer alta. Tiempo bajo análisis: trimestre – Curvas de adopción (falla de Kaplan-Meier). Las curvas de adopción muestran la probabilidad acumulada de que las personas que no poseían cuenta a comienzos del primer trimestre de 2019 pasen a tenerla en los períodos siguientes.
Fuente | Estimaciones propias en base a datos de COELSA.
Modelos semi-paramétricos de Cox con coeficientes variables en el tiempo
Al análisis basado en modelos no-paramétricos de Kaplan y Meier, la investigación adiciona la estimación de modelos de Cox con coeficientes variables en el tiempo que ofrecen algunas ventajas relativas claves como ser la inclusión de múltiples variables explicativas, el trascender la violación del supuesto de riesgos proporcionales y la posibilidad de realizar simulaciones con los parámetros estimados para diferenciar posibles causas e incentivos para la apertura de cuentas.
Tanto los modelos no paramétricos como los semi paramétricos utilizados, con sus test correspondientes, permiten concluir que:
- Las personas jóvenes muestran un comportamiento diferente que el de las personas adultas con una apertura más significativa.
- Las personas adolescentes muestran un comportamiento distinto que el de las personas maduras con una apertura más significativa en PSP y también en EEFF, aunque con cierto retraso temporal.
- Las características del proveedor de los servicios cumplen un papel trascendente en la dinámica de apertura de cuentas. Si bien los procesos para los distintos tipos de proveedores comparten ciertas características como ser que son ascendentes, también hay aspectos que las diferencian como ser, entre los más notables, el límite superior alcanzado, y el salto correspondiente al impacto de la pandemia COVID-19.
- La evidencia, surgida de la estimación de modelos de comportamiento y de la realización de simulaciones con los parámetros estimados, permite diferenciar claramente los impactos del despliegue de la tecnología del de la irrupción de la pandemia COVID-19.
- La pandemia COVID-19 marca un impacto mayor en las personas de género masculino que en las de género femenino en lo que refiere a EEFF, que podría atribuirse a los programas de apoyo público de emergencia motorizados, aunque la dinámica posterior acerca el proceso de las mujeres al de los varones, en especial en la banca pública. En términos de los PSP, y si bien las mujeres inician desde una posición rezagada en comparación con los varones, el proceso termina revirtiendo esta situación al concluir la ventana de observación.
- Existen diferencias en los patrones de apertura para los distintos tipos de proveedores de cuentas pues frente a una dinámica “tendencial” propia de los PSP se observa otra de tipo “eventual” característica de las EEFF resultante de la reacción de éstas ante la pandemia COVID-19 y del despliegue de acciones específicas para facilitar el acceso a cuentas hacia fines de la ventana de observación.
- Existe una edad “crítica” en torno a los 16 años para la apertura de cuentas bancarias.
- Pese a la irrupción de facilidades “digitales/virtuales” para la apertura y utilización de cuentas bancarias y de pagos, las características “territoriales” aún parecen cumplir un papel significativo en la dinámica de apertura de cuentas.
- Contra la afirmación sostenida de que el accionar de los PSP se focaliza en permitir la inclusión financiera de personas que residen en pequeñas comunidades, la evidencia muestra que en términos de timing este papel lo cumplen las EEFF públicas en tanto que los PSP destacan en las localidades con mayor cantidad de personas de 15 años y más. La expansión de la apertura de cuentas de PSP se da más prontamente en localidades que ya disponen de infraestructura bancaria, tanto pública como privada.
Apartado 2 / Dinámica de los retiros de efectivo y la inclusión financiera
La aceleración de los pagos digitales en Argentina constituye una tendencia consolidada, sin embargo, el efectivo continúa siendo un medio de pago relevante en el uso cotidiano. Este fenómeno, que también se presenta en otras economías del mundo como aquellas pertenecientes a la zona euro98, plantea el siguiente interrogante ¿Cómo ha evolucionado el uso de efectivo en nuestro país en el último tiempo?
El 63,5% de las personas afirmó utilizar efectivo con mucha frecuencia en sus compras habituales de acuerdo con un relevamiento de fines de 202299. Mientras que el 69,4% del gasto de los hogares se efectuaba en efectivo según una encuesta previa a la pandemia (2017-2018)100. Ambas cifras brindan una idea sobre la cotidianidad del efectivo como medio de pago en distintos puntos del tiempo.
Gráfico A.2.1 | Relaciones entre extracciones de efectivo, medios de pago electrónicos y PIB

Nota | “Extracciones”: extracciones de efectivo; “MPE”: medios de pago electrónicos. Montos para cada año en términos corrientes.
Fuente | BCRA e INDEC.
En paralelo, los montos -en términos reales- extraídos de dinero desde los cajeros automáticos, proxy del uso de efectivo como medio de pago101, cayeron un 23% durante el 2022. Ello resulta esperable a la luz del incremento de los volúmenes -a precios constantes- de los medios de pago electrónicos -MPE- (+25% i.a.). Asimismo, la proporción de los montos extraídos de efectivo sobre el total del producido en la economía se redujo en 3 p.p. entre los años 2021 y 2022 (de 15% a 12%). Los MPE como proporción del PIB avanzaron del 54% al 66% en el mismo período. En términos de la población, cada adulto realizó -en promedio- en 2022 más pagos electrónicos por cada extracción de efectivo por mes que durante el año 2021 (7 vs 4, respectivamente). Similar situación se registró en términos de montos reales ($5 vs. $3,5 por cada peso extraído, respectivamente). Esto conduce a pensar que, en promedio, cada argentino utilizaría cada vez más los MPE en lugar del efectivo.
En resumen, el efectivo sigue importando a la hora de realizar los pagos cotidianos, pero su uso estaría perdiendo terreno frente al avance de los pagos digitales. Ahora bien, ¿Esta tendencia se verifica para toda la población? ¿O se pueden identificar comportamientos diferentes en función de los distintos grupos poblacionales (Grupos I, II, III y IV102)?
Existen conductas dispares en el uso del efectivo en función del nivel de ingreso y tipo de ingreso laboral (registrado o no registrado) de acuerdo con los resultados de las encuestas señaladas. El uso del efectivo (a) crece a medida que disminuye el nivel de ingreso de las personas, al tiempo que (b) es menor entre quienes perciben un ingreso laboral registrado.
Este comportamiento se puede corroborar a partir de la información de retiros de efectivo recopilados por el BCRA. Estos datos , clasificados en función del grado de desarrollo de la infraestructura financiera física de las localidades, permiten agrupar a sus habitantes en cuatro conjuntos y caracterizarlos según los siguientes atributos: (a) cantidad de personas que perciben su remuneración a través de una cuenta sueldo (proxy de asalariados registrados); (b) monto de las remuneraciones percibidas a través de una cuenta sueldo (proxy del nivel de ingreso de asalariados registrados) y (c) actividad de los tenedores de cuentas -bancarias y/o de pago- , entre otros.
El análisis de los datos verifica las tendencias halladas en las encuestas individuales en relación con el nivel y tipo de ingreso (aunque en este caso la disponibilidad de la información sólo permite trabajar con datos del ingreso laboral formal de quienes perciben sus haberes en una cuenta sueldo):
(a) A medida que se incrementa el nivel de la remuneración promedio por tenedor de cuenta sueldo (proxy de asalariado registrado) del grupo poblacional, tiende a disminuir la proporción de retiros de efectivo sobre la remuneración formal y aumenta la actividad de las personas cuentahabientes (bancarias y/o de pago).
(b) En grupos poblacionales con menor proporción de tenedores de cuenta sueldo (proxy de asalariados registrados) se observa un mayor porcentaje de retiros de efectivo respecto a la remuneración formal y una menor actividad de las personas cuentahabientes (bancarias y/o de pago).
(c) Las diferencias entre los grupos poblacionales para las variables analizadas se mantienen en todos los trimestres entre junio de 2021 y diciembre de 2022.
Tabla A.2.1 | Caracterización de los grupos poblacionales

Nota | Datos a diciembre de 2022, excepto para infraestructura digital (agosto 2022) y para tenedores de cuentas con actividad (4to. trimestre de 2022). (*) En esta tabla, “asalariado registrado” se utiliza para referir a las personas que perciben sus haberes a través de una cuenta sueldo y la “masa salarial de los asalariados registrados” considera la suma de las remuneraciones de dichos trabajadores. Tenedores de cuentas con actividad: Porcentaje de tenedores de cuentas con al menos un débito. Grupos poblacionales (I a IV): de acuerdo con la regulación, las localidades de todo el país están agrupadas en 6 categorías según el nivel de infraestructura física financiera y ciertos índices de desarrollo financiero (de I a VI, de mayor a menor nivel de infraestructura). Los datos de retiros de efectivo están presentados en 4 grupos dado que las últimas 3 categorías (de la IV a la VI) están agregadas en un mismo conjunto. De esta forma, se toma como unidad de análisis a la población de las localidades que conforman cada grupo. Montos expresados a precios constantes de junio de 2023 (IPC junio de 2023 = 100).
Fuente | BCRA, COELSA, ENACOM e INDEC.
Otros factores, como la infraestructura financiera física y digital, podrían también contribuir a explicar las conductas diferenciales en el manejo del efectivo. Por ejemplo, un mayor acceso a puntos de extracción (ATMs, comercios donde se puede retirar efectivo, ACSF, etc.) disminuye la necesidad de realizar retiros de dinero significativos por motivos precautorios y tiende a aumentar su frecuencia por montos menores. En particular, el grupo poblacional I que registra la menor tasa de retiros respecto a la remuneración formal posee un número más alto de ATMs por adulto. Por otra parte, la posibilidad de desarrollar una red de pagos digitales depende de la existencia de un sistema sólido de conexión a internet que afecta naturalmente a consumidores y comercios. La población que puede acceder a ambas conexiones (fija y móvil) incide en el potencial de los servicios financieros digitales. Si bien en este caso no se observa una gran diferencia entre la mayoría de los grupos, en el conjunto IV, un cuarto de la población habita en localidades que no poseen ambos tipos de conexión. Además, debería evaluarse la calidad de la conectividad (ej. velocidad de navegación) para poder analizar las posibilidades del desarrollo efectivo de la infraestructura digital106.
Como se afirmó previamente, en términos generales, los montos extraídos de efectivo se han reducido al tiempo que han avanzado los MPE. La siguiente pregunta es si esta disminución del uso del efectivo se ha verificado, y en qué magnitud, en todos los grupos poblacionales.
Tabla A.2.2 | Disminución de los retiros en efectivo

Nota | Variaciones i.a. sobre montos expresados a precios constantes de junio de 2023 (IPC junio de 2023 = 100). (*) En esta tabla, “asalariado registrado” se utiliza para referir a las personas que perciben sus haberes a través de una cuenta sueldo y la “masa salarial de los asalariados registrados” considera la suma de las remuneraciones de dichos trabajadores.
Fuente | BCRA y COELSA.
Como primer punto se puede señalar que los retiros de efectivo -a precios constantes- han disminuido en los 4 grupos poblacionales considerando los tenedores de cuentas (bancarias y/o de pago) y respecto de las remuneraciones formales percibidas en cuenta sueldo -a precios constantes- (para todas las variaciones i.a. y entre las puntas del período analizado). La caída del uso del efectivo se ha plasmado en todos los conjuntos poblacionales independientemente del nivel y tipo de ingreso y de la disponibilidad de infraestructura física y digital.
En segundo lugar, la tasa de disminución de los retiros de efectivo no ha sido uniforme entre los grupos poblacionales.
Los retiros de efectivo -a precios constantes- en el grupo I, que relativamente posee la remuneración promedio por asalariado registrado más elevada y la mayor proporción de trabajadores formales (que reciben sus acreditaciones en una cuenta sueldo), han caído en mayor magnitud que el resto de los grupos poblacionales tanto en términos de los tenedores de cuentas (bancarias y/o de pago) como respecto de las remuneraciones reales formales (para todas las variaciones i.a. y entre las puntas del período analizado). Se podría decir que la caída en el uso del efectivo (y su reemplazo por pagos electrónicos) se ha producido a un ritmo más acelerado en el conjunto de la población con mayor tasa de asalariados registrados (tenedores de cuenta sueldo), el más elevado nivel de remuneraciones formales y mejor acceso a infraestructura física.
Como conclusión, el análisis de los datos sobre retiros de efectivo de cajeros automáticos recopilados por el BCRA y procesados por grupos poblacionales permite: (1) confirmar la existencia de conductas diferenciales en el manejo del efectivo según el nivel y tipo de ingreso laboral (formal/informal), (2) aseverar que, a pesar de ello, en el último tiempo la caída del efectivo constituye un fenómeno que se verifica a lo largo de todos los grupos poblaciones independientemente de sus condiciones ante el ingreso e infraestructura financiera física y digital y (3) afirmar que esta tendencia ha sido de mayor magnitud entre las personas con un más elevado nivel de ingreso, una mayor presencia de empleo registrado y mejor acceso a infraestructura física.
Bajo la premisa de que los pagos digitales conforman la puerta de entrada al uso del sistema financiero, dado que permiten a las personas acceder a otros servicios como el ahorro y/o el financiamiento, este análisis permitiría comprender en qué grupos poblacionales ha sido mayor/menor el potencial crecimiento de la inclusión financiera, como contracara de la evolución del uso de efectivo, y cuáles serían los desafíos que se podrían abordar para alcanzar un uso universal de los servicios financieros.
Otras características de las cuales no se dispone de información, como habilidades digitales, conductas ante situaciones de vulnerabilidad y disrupciones en el funcionamiento de la infraestructura de información y comunicaciones, también pueden incidir en este comportamiento. Se cuenta con evidencia de esto tanto para países desarrollados como en desarrollo. Así, si bien el impulso de la digitalización es sistémico, aún en ambientes de alto desarrollo de los entornos transaccionales digitales, el uso de efectivo y la accesibilidad a puntos de atención físicos resultan indispensables para facilitar la inclusión financiera de poblaciones alejadas, de edad avanzada y de personas con algún tipo de vulnerabilidad personal y/o social107.
Nota metodológica
Datos de población
Este IIF presenta indicadores que se encuentran desagregados por distintas variables demográficas y geográficas. A la fecha de publicación de esta edición, no se han difundido los resultados definitivos del Censo Nacional de Población, Hogares y Viviendas (CNPHV) de 2022, por lo que se utilizaron datos de población basados en el CNPHV de 2010.
Dado que el Instituto Nacional de Estadística y Censos de la República Argentina (INDEC) no publica una serie que contenga simultáneamente todas las desagregaciones utilizadas a lo largo de este IIF (género, grupo etario y ubicación geográfica a nivel provincial, departamental y de localidad), fue necesario tomar distintas series de acuerdo con la definición de cada indicador:
- para los indicadores a nivel nacional y provincial se utilizó la serie denominada “Población por sexo y grupos quinquenales de edad para el total del país y provincias. Años 2010-2040”;
- para los indicadores a nivel departamental se tomó como base la serie “Población estimada al 1 de julio de cada año calendario por sexo, según departamento”;
- finalmente, dado que el INDEC no publica una proyección de la evolución en el tiempo de la cantidad de habitantes de cada localidad, fue necesario construir la serie para los indicadores a dicho nivel, para lo cual se partió de los resultados del CNPHV de 2010.
Atento que existen diferencias entre los resultados provisionales del CNPHV 2022 y los del 2010, los indicadores elaborados en este IIF en relación a la población adulta deberían tomarse como provisorios hasta tanto se cuente con información actualizada del último censo.
Por último, a los efectos de este IIF, se considera “adulto” a una persona de 15 años o más, siguiendo el estándar utilizado por el Banco Mundial para sus indicadores de inclusión financiera.
Regionalización
A los fines de la elaboración de indicadores regionales, se utilizó el criterio de regionalización propuesto por el Ministerio de Economía y Finanzas Públicas (en la actualidad, Ministerio deEconomía), que establece cinco regiones, a saber:
– NOA (Noroeste Argentino): Salta, Jujuy, Tucumán, Catamarca y Santiago del Estero.
– NEA (Noreste Argentino): Formosa, Chaco, Misiones y Corrientes.
– Nuevo Cuyo: Mendoza, San Juan, San Luis y La Rioja.
– Patagonia: La Pampa, Neuquén, Río Negro, Chubut, Santa Cruz y Tierra del Fuego.
– Centro y Buenos Aires: Córdoba, Santa Fe, Entre Ríos, Buenos Aires y la Ciudad Autónoma de Buenos Aires.
En este IIF se menciona a Nuevo Cuyo como Cuyo y Centro y Buenos Aires como Centro.
Cuentas de pago en proveedores de servicios de pagos
Dentro de los Proveedores de Servicios de Pagos (PSP) que operan en COELSA, existen proveedores que están inscriptos en el Registro de Proveedores de Servicios de Pago (PSP) del BCRA y otros proveedores que no están registrados108 . A los efectos de este informe, se contabilizan únicamente las cuentas de pago correspondientes a los proveedores que se encuentran registrados como PSP que ofrecen cuentas de pago.
Actividad en cuentas
La serie de “Actividad” proviene de COELSA e indica si las personas cuentahabientes registraron débitos o créditos en sus cuentas bancarias y/o de pagos a lo largo de un trimestre. Si una persona realiza operaciones desde cuentas diferentes, ya sea de la misma entidad o de distintas entidades, se contabiliza solo una vez.
La serie permite distinguir si el movimiento de fondos es producto de un débito y/o de crédito y se contemplan los débitos y créditos realizados mediante transferencias inmediatas, pagos con transferencias en línea, transacciones con cheques, débitos directos, DEBIN y transferencias en lote (diferidas), en la medida que estén liquidadas y compensadas por COELSA.
Dado que la serie de “Actividad” considera el subconjunto de operaciones en las cuales interviene COELSA, los indicadores de actividad están subestimados. En particular, el indicador no captura aquellas personas cuentahabientes que operan con tarjeta de débito y no realizan transferencias desde o hacia cuentas de pago, los retiros de efectivo, entre otros. Otro aspecto del indicador es que las operaciones de débito son, en general, iniciadas por la propia PH titular de la cuenta mientras que en las de crédito son originadas por un tercero (PH o PJ). Esta distinción tiene consideraciones distintas en términos de inclusión financiera, dado que en el primer caso se trata de una operación activa de la PH.
Crédito de empresas MiPyMEs
Se utilizó el criterio de MiPyME propuesto por el Ministerio de Industria y Desarrollo Productivo109 , en el cual una MiPyME es una micro, pequeña o mediana empresa, cuya actividad económica en el país se agrupa en alguno de estos sectores: servicios, comercial, industrial, agropecuario, construcción o minero. El tamaño de la MiPyME se determina en función de la actividad económica y el monto de las ventas totales anuales. Cuando las regulaciones del BCRA lo disponen, las EEFF informan en la Central de Deudores del Sistema Financiero (CENDEU) el campo “código_pyme”110, el cual se compone de 2 dígitos, uno que indica el tamaño y otro el sector económico. Dado que existen casos donde una misma empresa para un mismo periodo tiene asignados “código_pyme” distintos, se utilizó el “código_pyme” correspondiente a la asistencia crediticia de mayor saldo en cada uno de los periodos estudiados. Existe la posibilidad que el primer saldo sea idéntico al segundo, en este caso se toma el “código_pyme” más alto posible. Para la asignación de provincia a las empresas MiPyMEs se utilizó el domicilio fiscal declarado en el Padrón AFIP.
Saldos de los productos de ahorro e inversión de las personas humanas (PH)
Los saldos de ahorro e inversión de las (PH) están clasificados de la siguiente manera:
- Saldos de liquidez inmediata: incluyen: (i) saldos en cuentas corrientes y en cajas de ahorro nominadas en moneda local y extranjera; (ii) saldos en cuentas de pago y (iii) valor del patrimonio neto (PN) de los Fondos Comunes de Dinero (FCD) suscriptos por PH (estimación).
- Saldos en productos de corto y mediano plazo: incluyen: (i) saldos en plazos fijos en pesos y en moneda extranjera, (ii) saldos de productos en UVA y (iii) valor del PN de otros Fondos Comunes de Inversión (Otros FCI) suscriptos por PH (estimación). Incluyen fondos de renta fija (bonos), renta variable (acciones), renta mixta, estructurados, entre otros111.
Para estimar el PN de los FCD suscriptos por PH se calculó la sumatoria de: los FCD suscriptos a través de PSP, los FCD exclusivos de PH en EEFF y, para aquellos FCD que pueden estar constituidos tanto por PH como por PJ en EEFF, se estimó sobre la base de ponderadores los correspondiente a PH. Los ponderadores se obtuvieron a través del cálculo de la participación de los FCI de PH en los FCI Totales (PH+PJ). La exclusividad fue consultada a través de un relevamiento de los sitios web y los reglamentos de gestión de los FCD.
Por otro lado, para estimar el PN de los otros FCI se calculó la diferencia entre el valor del PN de los FCI suscriptos por PH (utilizando la serie denominada “FCI abiertos por PH” que publica CAFCI mensualmente) y el valor del PN de los FCD suscriptos por PH.
Dinámica de los retiros de efectivo y la inclusión financiera
Los datos de retiros de efectivo recopilados por el BCRA a través del Régimen Informativo Contable Mensual, disponibles para los trimestres de junio de 2021 a diciembre de 2022, están clasificados en categorías en función del grado de la infraestructura financiera física y de índices de desarrollo financiero de las localidades (de I a VI, de mayor a menor nivel de infraestructura / desarrollo financiero).
Los datos de retiros de efectivo se presentan en 4 grupos dado que las últimas 3 categorías (de la IV a la VI) están agregadas en un mismo conjunto. Estos 4 grupos pueden ser caracterizados con los siguientes atributos: (a) cantidad de personas que perciben su remuneración a través de una cuenta sueldo (proxy del número de asalariados registrados); (b) monto de las remuneraciones percibidas a través de una cuenta sueldo (proxy del nivel de ingreso de asalariados registrados) y (c) actividad de los tenedores de cuentas -bancarias y/o de pago-, entre otros.
Glosario de abreviaturas y siglas
ACSF Agencia Complementaria de Servicios Financieros
AFI Alliance for Financial Inclusion
AFIP Administración Federal de Ingresos Públicos
ARS Peso argentino
ATM Cajero Automático
BCRA Banco Central de la República Argentina
BIS Bank for International Settlements
BP Botón de Pago
CABA Ciudad Autónoma de Buenos Aires
CAFCI Cámara Argentina de Fondos Comunes de Inversión
CBU Clave Bancaria Uniforme
CENDEU Central de Deudores del Sistema Financiero
CFT Costo financiero total
CNE Censo Nacional Económico
CNPHV Censo Nacional de Población, Hogares y Viviendas
CNV Comisión Nacional de Valores
COELSA Cámara Compensadora Electrónica
CVU Clave virtual uniforme
Der Derecho
EEFF Entidades Financieras
EF Entidad Financiera
EMAE Estimador Mensual de la Actividad Económica
ENACOM Ente nacional de comunicaciones
EPH Encuesta Permanente de Hogares
ETCNB Emisoras de Tarjetas de Crédito No Bancarias
EyO Empresas y organizaciones
FAS Financial Access Survey
FCD Fondo Común Directo
FCD-PH Fondo Común de Dinero de personas humanas
FCEM Facturas de Crédito Electrónicas MiPyME
FCI Fondo Común de Inversión
FCI-PH Fondo Común de Inversión de personas humanas
FF Fideicomiso financiero
FMI Fondo Monetario Internacional
FSB Financial Stability Board
HB Home banking
i.a Interanual
IIF Informe de Inclusión Financiera
INDEC Instituto Nacional de Estadística y Censos
IPC Índice de Precios al Consumidor
ITU International Telecommunication Union
LFIP Línea de Financiamiento para la Inversión Productiva
MB Mobile Banking
Mbps Megabits por segundo
M Miles
Mill Millones
MiPyMEs Microempresas, Empresas Pequeñas y Medianas.
MPE Medios de Pago Electrónico
MPOS Dispositivo Móvil en Punto de Venta
NEA Noreste Argentino
NOA Noroeste Argentino
ON Obligación negociable
OPNFC Otros Proveedores No Financieros de Crédito
PCT Pagos Con Transferencia
PDA Puntos de Acceso
PF Plazo Fijo
PH Persona Humana
PIB Producto Interno Bruto
PJ Persona Jurídica
PN Patrimonio Neto
PNFC Proveedores No Financieros de Crédito
POS Dispositivo en Punto de Venta
p.p Puntos porcentuales
PSP Proveedores de Servicios de Pagos
QR Quick Response code o código de respuesta rápida
SCA Sistema de circulación abierta
SEPyME Secretaría de la Pequeña y Mediana Empresa y los Emprendedores
SF Sistema financiero
SFA Sistema Financiero Ampliado
SGR Sociedades de garantías recíprocas
SPNF Sector Privado No Financiero
SMVM Salario mínimo vital y móvil
SUC Sucursal
TAS Terminal de autoservicio
TD Tarjeta de débito
TNA Tasa Nominal Anual
TVI Tasa de variación interanual
UVA Unidades de Valor Adquisitivo
Referencias
1 Incluye proveedores de servicio de pago (PSP) y proveedores no financieros de crédito (PNFC).
2 Monto promedio a precios constantes de junio de 2023. El monto transaccionado por adulto, a precios constantes, se incrementó un 25% en términos interanuales en el primer semestre del año.
3 Tasas obtenidas a partir del informe Accesos a Internet (INDEC).
4 Las localidades de menor tamaño tienen mayor proporción de sus conexiones con menor velocidad (1 a 10 mbps) (Ver Gráfico 3). Por otro lado, la tenencia de dispositivos electrónicos como computadoras o celulares alcanza al 62,6% de los hogares y el 89,3% de los individuos, respectivamente.
5 Las variaciones porcentuales corresponden a las series de Oferta y demanda globales desestacionalizadas (INDEC).
6 De acuerdo con la Encuesta Permanente de Hogares el empleo alcanzó alrededor de 13,2 millones de personas en el primer trimestre de 2023 frente a 13,1 millones del cuarto trimestre de 2022. En el segundo trimestre del corriente año el empleo cayó a 13,1 millones (INDEC, Encuesta Permanente de Hogares).
7 El indicador que se evaluó es el cociente entre el número de personas empleadas (EPH, INDEC) y el nivel de producto interno bruto desestacionalizado (INDEC). Entre 2019 y el primer semestre de 2023 la relación empleo/producto creció a una tasa de 2% anual.
8 Se utilizó el Índice de salarios (INDEC) y se deflactaron las series por el índice de Precios al Consumidor (INDEC). El salario del sector registrado aumentó 0,3% en el promedio del primer semestre de 2023 respecto del segundo semestre de 2022. En el mismo período el salario en el sector privado no registrado cayó 6,6%. En el agregado el índice de salarios mostró una reducción menor a 1%.
9 Ver Informe de Política Monetaria de julio 2023 (BCRA)
10 Financial Access Survey, 2022 Trends and Developments.
11 Se considera una muestra de 85 países que reportan datos de infraestructura financiera al FMI.
12 Ver Informe de Inclusión Financiera, segundo semestre de 2022, Gráfico 1.
13 A junio de 2023, 99,6% de las ACSF correspondía a comercios de redes de cobranza extrabancaria.
14 Se utilizaron datos remitidos por las EEFF al BCRA. Conjunto (i) está conformado por transferencias inmediatas, transferencias ordinarias (diferidas), transferencias de monto superior y pago de servicios e impuestos; conjunto (ii) está conformado por plazo fijo y plazo fijo web y conjunto (iii) está conformado por alta de préstamos personales, prendarios e hipotecarios. La combinación de canales y tipos de transacción puede involucrar conjuntos distintos de EEFF, dado que no todas las EEFF reportantes ofrecen todas las operaciones a través de los canales considerados.
15 Ver las secciones de Tenencia de cuentas, Medios de pago electrónicos y Crédito a personas humanas.
16 Datos a 2022, ITU.
17 En cuanto a la velocidad, el umbral mínimo recomendado por la Comisión Federal de Comunicaciones de Estados Unidos para la navegación general en Internet y el uso de correo electrónico asciende a 1 mbps, mientras que la descarga de video de alta definición requiere una velocidad mínima de entre 5 y 8 mbps. Guía de Velocidades de Banda Ancha.
18 ENACOM, Tipos de conexión.
19 Ver Apartado 3 / La educación, una inversión clave para cuidar la salud financiera, Informe de Inclusión Financiera, abril 2022, BCRA.
20 Para promover la inclusión financiera, el BCRA lleva adelante programas educativos dirigidos a diferentes públicos para favorecer el desarrollo de las capacidades y la salud financiera de todas las personas, priorizando a los sectores más vulnerables.
21 Dado que a la fecha de esta publicación no están disponibles los datos por grupo etario del Censo Nacional de Población Hogares y Viviendas 2022 (INDEC) se continúa trabajando con las proyecciones del Censo de 2010. Los indicadores elaborados en este IIF en relación con la población adulta deberían tomarse como provisorios hasta tanto se cuente con información actualizada del último censo. En este sentido, el porcentaje de la población adulta con al menos una cuenta arroja un valor de 100,4% en junio de 2023.
22 La apertura se refiere a apertura neta (o incremento neto) en la cantidad de cuentas (bancarias o de pago), que surge a partir de la diferencia entre el número de nuevas cuentas que se abrieron y el número de cuentas que se cerraron.
23 Cabe aclarar que, dado que varios ingresos son cobrados a través de cuentas bancarias, también podría ocurrir la apertura de cuentas por estos motivos.
24 Un análisis de los mercados bilaterales o de las economías de plataformas puede encontrarse en Rochet y Tirole (2004).
25 A junio de 2023, las empresas (entidades con fines de lucro) representan el 82% mientras que las organizaciones (entidades sin fines de lucro), el 14,5%. No fue posible determinar la forma jurídica del 3,5% de las EyO con cuentas.
26 Las operaciones liquidadas y compensadas por COELSA consideran débitos y créditos realizados mediante transferencias inmediatas, pagos con transferencias (PCT), cheques, débitos directos, DEBIN y transferencias en lote (diferidas). Las transferencias inmediatas incluyen aquellas que involucran un CVU, en el origen y/o en el destino, y en el caso de los PCT no incluye aquellos interoperables que son administrados por otras Infraestructuras del Mercado Financiero distinta a COELSA. Adicionalmente, no están incluidas las transferencias que se compensan dentro de cada entidad financiera y los PCT intra PSP. Por último, las transacciones liquidadas por las redes Link y Banelco, como los pagos con tarjeta de débito y las transferencias entre CBUs, tampoco están comprendidas en el indicador. Considerando la cantidad de operaciones, se estima que en el primer semestre de 2023, COELSA estuvo involucrada en el 24% de las operaciones.
27 Esta métrica mide la proporción de personas cuentahabientes que registraron al menos una operación en alguna de sus cuentas a lo largo del trimestre.
28 Uso de medios de pago según edad. Primer informe sobre endeudamientos, géneros y cuidados en la Argentina 2023. Equipo de trabajo de la CEPAL y el Ministerio de Economía de la Argentina.
29 Las generaciones más jóvenes (18 a 29 años) son las que presentan los mayores niveles de uso de internet (96,7%) y el celular (97,8%). Las personas de edad intermedia (30 a 64 años) registran valores de 93% y 97,2% respectivamente. Mientras que las personas de 65 años y más presentan las cifras más bajas (63,6% y 78,1%). INDEC, Acceso y uso de tecnologías de la información y la comunicación. EPH. Cuarto trimestre de 2022.
30 Ver Primer informe sobre endeudamientos, géneros y cuidados en la Argentina. CEPAL
31 El numerador surge de dividir el monto cursado a través de medios de pago electrónicos (MPE) durante el segundo trimestre de 2023 por el PIB a valores corrientes del mismo período.
32 Las cantidades y montos presentados en esta sección refieren al promedio mensual dentro de un periodo semestral.
33 Datos disponibles a partir de enero de 2016.
34 Los montos de esta sección están expresados a precios constantes de junio de 2023 (IPC junio de 2023 = 100).
35 La denominación “pagos inmediatos” comprende las transferencias y los pagos con transferencia (PCT). Cabe señalar que las transferencias de dinero pueden incluir operaciones que no son pagos en sí mismos, dado que no existe una contraprestación de un servicio o la entrega de un bien a cambio. Sin embargo, se entiende que estas operaciones si bien existen no son significativas.
36 Diez días hábiles de plazo para su acreditación desde mayo de 2019 y luego de julio de 2021 entre 8, 10 o 18 días hábiles según el tamaño de la empresa. En cuanto a los costos, la comisión osciló entre 2,1% y 1,8% (actual).
37 Promedio mensual dentro del semestre mencionado.
38 Fuente: INDEC. 24/08/23. Encuesta de supermercados. La participación de tarjeta de débito pasó de 29% a 31%. “Otros medios” incluye vales, cuponeras, ticket canasta, gift card, entre otros.
39 Conformada por los países que poseen datos para todas las variables utilizadas con excepción de Países Bajos (que presenta una configuración particular de MPE) y Arabia Saudita.
40 Último periodo disponible.
41 En función de los datos disponibles, el análisis contempla todas las operaciones con MPE salvo las transferencias desde un CBU a un CVU (cantidades y montos) y los PCT interoperables (montos) debido a que no se cuenta con la información de la desagregación del canal. Las transferencias CBU a CVU representaron el 2% y el 5% de las cantidades y el 2% y 4% de los montos de MPE en los años 2021 y 2022, respectivamente. Mientras que los PCT interoperables, representaron un 3% y 2% del total de los montos de MPE en esos años.
42 Se trata de un ejercicio aproximado dado que algunos canales como botón de pago / web podrían ser ejecutados a través de un navegador desde un celular.
43 El año 2022 es el último dato disponible.
44 Que han quedado desplazados por otros medios a la hora de realizar transferencias (ver IIF segundo semestre de 2022).
45 En el cuarto trimestre de 2022, el 89,3% de la población de 4 y más años de los aglomerados urbanos utilizaba el celular, con un avance de 1,2 p.p. respecto al mismo periodo de un año antes. Fuente: INDEC: Acceso y uso de tecnologías de la información y la comunicación. EPH. Cuarto trimestre de 2022. Cuarto trimestre de 2021.
46 Ver nota al pie 35.
47 Cabe aclarar que estas operaciones comprenden movimientos de dinero que no necesariamente implican un pago. En función de los datos disponibles, no es factible discriminar los envíos de dinero que no constituyen pagos de aquellos que sí lo son.
48 Las transferencias a través de dispositivos móviles se estiman sumando las operaciones CVU a CBU, CVU a CVU, intra PSP y entre EEFF a través de MB. Esta suma explicó 82,7 p.p. del 117,3% de la tasa de variación interanual.
49 Los PCT son transferencias inmediatas utilizadas para realizar un pago por la adquisición de un bien y/o servicio con participación de un aceptador. El aceptador ofrece a los comercios las herramientas para cobrar con ese medio de pago. Los PCT cuentan con reglas comerciales distintas al resto de las transferencias inmediatas (Informe de Pagos Minoristas, BCRA).
50 Los PCT interoperables se realizan entre distintos PSP/EEFF e incluyen aquellos iniciados en QR interoperables, en POS con credenciales de tarjeta, con claves aleatorias y botón de pago.
51 Los montos mencionados en esta sección están expresados a precios constantes de junio de 2023 (IPC INDEC junio de 2023 = 100).
52 El saldo se calcula como la sumatoria de los saldos de cada uno de los productos de ahorro e inversión a valores corrientes del segundo trimestre de 2023 y se divide por el PIB del mismo trimestre a valores corrientes.
53 El significativo aumento en los saldos reales de FCD de PH podría atribuirse a la combinación de incrementos sucesivos en la tasa de política monetaria, la flexibilidad y liquidez proporcionada por este vehículo financiero y la diversificación de las inversiones realizadas por los ahorristas. La oferta de FCD disponibles aumentó de 50 en diciembre de 2022 a 54 en junio de 2023.
54 Los FCD son FCI que se caracterizan por su elevada liquidez y muy baja volatilidad. Estos fondos invierten en activos de muy corto plazo, principalmente depósitos a plazo fijo, depósitos en cuentas a la vista, pases y cauciones. Ver Glosario CACFI.
55 Los plazos fijos tradicionales corresponden a aquellos que están contenidos en el TO de Depósitos e Inversiones a Plazo. Sección 1, puntos 1.8 y 1.9.
56 Los otros FCI presentan una mayor rentabilidad pero también un riesgo más elevado y una menor liquidez. Pueden ser fondos de renta fija (bonos), renta variable (acciones), renta mixta, estructurados, entre otros. Ver Glosario, CAFCI.
57 Sólo se consideran las cuentas en pesos.
58 Ver Cantidad de titulares de productos ofrecidos por las entidades financieras, por grupo de entidad (BCRA). Esta variable contempla también los plazos fijos de personas jurídicas
59 De acuerdo a información que recibe el BCRA de las EEFF, se estima que en el semestre comprendido entre septiembre de 2022 y febrero de 2023, el 87% de los plazos fijos en moneda local se constituyó a través de home-banking y mobile-banking. Dicha proporción fue superior al 80% registrado en el semestre comprendido entre septiembre de 2020 y febrero de 2021.
60 Correspondiente a junio de 2023. Plazos fijos del Sector Privado no Financiero, Información sobre entidades financieras, BCRA.
61 En moneda nacional.
62 Datos elaborados en base a COELSA y al Régimen Informativo de “Proveedores de servicios de pago” del BCRA.
63 El SFA comprende entidades financieras (EEFF) y proveedores no financieros de crédito (PNFC). A lo largo de la sección, las métricas consolidan deudores únicos dentro del grupo de proveedores que tomen como referencia. Se eliminan las duplicaciones causadas por varias líneas de financiamiento dentro de un mismo proveedor y por financiamiento en distintos proveedores de un mismo grupo de análisis.
64 Los proveedores de crédito se agrupan en dos grandes conjuntos que presentan características diferenciadas: las EEFF y los PNFC. Entre otros factores, los diferencian los tipos de productos ofrecidos, los requisitos de documentación, el costo y monto del financiamiento, la forma de gestionar el crédito (presencial o vía digital) y los modelos de negocios. Ambos conjuntos se encuentran bajo la órbita de regulación del BCRA.
65 Los montos de esta sección están expresados a precios constantes de junio de 2023 (IPC junio de 2023 = 100).
66 Durante el último trimestre de 2022, una compañía financiera se fusionó con un banco privado, lo que produjo una reducción en la cantidad de deudores de compañías financieras y una modificación del saldo promedio de este grupo.
67 En particular, esto se explica por la irrupción de las Fintech en el mercado de crédito, proveedores que incrementaron significativamente su cartera de clientes en los últimos años (ver Informe de Proveedores No Financieros de Crédito).
68 De acuerdo con el informe “Información de Entidades Financieras” el porcentaje de deudores con deuda entre $10 y $25 millones representó 1,03% de las personas con financiamiento en bancos públicos y 16,3% de la cartera de financiaciones de este mismo grupo de entidades. En el caso de los bancos privados estos indicadores bajaban a 0,21% para el caso de la cartera de deudores y de 4,84% de los saldos de financiamiento. Por otro lado, la proporción de los saldos adeudados que estaban cubiertos con garantías fue de 63% para los bancos públicos y 30% para los privados. Sin embargo, para el total de saldos las garantías representaron un 28% de la cartera de créditos de los bancos públicos y un 11% en los bancos privados.
69 Informe de Inclusión Financiera, segundo semestre de 2022.
70 Con los datos disponibles a la fecha, no resulta posible determinar si la deuda comprendida en los FF se originó en EEFF o en PNFC. Por este motivo, se presenta la información de los deudores que sólo registraron deuda en FF como “Resto” y se suman los deudores que registraron deuda en FF y EEFF a “Sólo EEFF”, los que registraron deuda en FF y PNFC a “Sólo PNFC” y los que registraron deuda en FF, EEFF y PNFC a “EEFF y PNFC”.
71 Junto con el costo financiero, otros factores a considerar que diferencian a ambos conjuntos de proveedores, son el monto máximo ofrecido y el plazo del financiamiento.
72 Para este ejercicio, se definió una muestra de las 15 EEFF y los 15 PNFC que registraban la mayor cantidad de deudores a junio de 2023 y que, además, presentaban información vinculada a préstamos personales en el mencionado marco regulatorio. Esta selección de 30 proveedores engloba el 81% de los deudores y el 88% del saldo de deuda de EEFF y el 74% de los deudores y 80% del saldo de PNFC de junio 2023.
73 A junio de 2023, la distribución de la población adulta del país era la siguiente: mujeres 51,6% y varones 48,4%. Fuente: INDEC. A esa fecha, el porcentaje de mujeres adultas con al menos un financiamiento de EEFF ascendía a 36,2% y de hombres adultos con financiamiento de EEFF 38,8%. Para PNFC, el porcentaje de mujeres adultas con al menos un financiamiento era de 29,9% y de hombres adultos 28,7%.
74 A junio de 2023, la distribución de la población adulta del país era la siguiente: entre 15 y 24 años 20%, de 25 a 34 años 20%, de 35 a 49 años 26%, más de 50 años 34%. Fuente: INDEC.
75 A junio de 2023, la distribución de la población adulta del país era la siguiente: Centro: 65,1%, NOA 11,4%, NEA 8,9%, Cuyo 8,1% y Patagonia 6,5%. Fuente: INDEC.
76 Promoting digital and innovative SME finance, GPFI, 2020.
77 Inclusión financiera de las pequeñas y medianas empresas en la Argentina, Sergio Woyecheszen, CEPAL, 2017.
78 La Ley 26.739 (28.03.12) reformó la Carta Orgánica del BCRA y, entre los cambios introducidos, estableció que el Directorio podrá “Establecer políticas diferenciadas orientadas a las pequeñas y medianas empresas y a las economías regionales” (cf. Art. 7 de dicha norma). A través de los años, el BCRA implementó diferentes regulaciones específicas para este segmento de empresas, tales como Línea de Crédito para la Inversión Productiva (Com. A 5319 del 05.07.12), Línea de Financiamiento para la Producción y la Inclusión Financiera (Com. A 5874 del 31.12.15) y, más recientemente, Línea de Financiamiento para la Inversión Productiva. Por su parte, la regulación de las Sociedades de Garantía Recíproca (SGR) se remonta al año 1995 (Ley 24.467 de marzo de 1995), en tanto que el marco regulatorio en competencia del BCRA data del año 1996 (Com. A 2411 del 26.01.96). También se encuentra regulación orientada al crédito MiPyMEs previo al año 1993. Por ejemplo, Escudé et al., (2001) señalan que hasta 1993 el BCRA establecía cupos de préstamos que los bancos comerciales debían asignar a las MiPyMEs (“Las MiPyMES y el mercado de crédito en la Argentina”, Documento de Trabajo N° 15, BCRA, julio 2001).
79 En el marco de La LFIP, se ejecutaron 6 cupos de financiamiento: (1) cupo 1: de octubre de 2020 a marzo de 2021; (2) cupo 2: abril de 2021 a septiembre de 2021; (3) cupo 3: de octubre de 2021 a marzo de 2022; (4) cupo 4: de abril de 2022 a septiembre de 2022; (5) cupo 5: de octubre de 2022 a marzo de 2023; (6) cupo 6: de abril de 2023 a septiembre de 2023.
80 Corresponde a las empresas con Registro MiPyME vigente al 30.06.23 (Datos Abiertos – Registro MiPyME).
81 La estimación del conjunto MiPyMEs surge de netear al total de unidades económicas (2.189.472), el total de organizaciones sin fines de lucro (76.084) dado que las mismas no están incluidas dentro de las empresas con la posibilidad de acceder al “Certificado MiPyME” y las empresas grandes con fines de lucro por no formar parte del concepto MiPyME (3.051). Cabe señalar que el criterio de clasificación de las MiPyMEs en distintos tamaños (micro, pequeña y mediana) no es simétrico entre el CNE y el Certificado MiPyME. Mientras el CNE clasifica en función de la cantidad de empleados, el Certificado MiPyME clasifica en función de la facturación anual.
82 Villar, L. (2020) Estructura de financiamiento de las empresas en la Argentina: influencia del tamaño de la firma y del sector al que pertenece, LV Reunión de la AAEP.
83 Los saldos mencionados a lo largo de la sección de crédito a las unidades productivas incluyen financiamiento en moneda doméstica y moneda extranjera y se expresan a precios constantes (IPC Junio-23 = base 100).
84 Las exigencias de efectivo mínimo rondan el 30%, de modo que por cada $100 pesos de depósitos pueden prestarse $70, de los cuales $7,5 deben asignarse a MiPyMEs. La asignación efectiva, entonces, ronda el 10,7%.
85 Los montos mencionados en la sección están expresados a precios constantes de junio de 2023 (IPC Indec Junio 2023 = 100).
86 18,6% (promedio mensual del año 2019) vs. 28,2% (promedio de los últimos 12 meses).
87 “Capital de trabajo” comprende adelantos, préstamos personales, tarjetas de crédito, documentos y descuentos de títulos; “Préstamos garantizados” comprende préstamos prendarios e hipotecarios; “Préstamos avanzados” comprende líneas de comercio exterior y obligaciones negociables y títulos de fideicomisos financieros. La clasificación por grupo de asistencias no comprende las asistencias con código ‘99’.
88 Incluye el saldo otorgado a empresas no MiPyMEs en el marco de la LFIP.
89 Promedio de la serie: 53%.
90 Ver Tabla 5 del Informe de Inclusión Financiera de abril de 2023.
91 La caída en la cantidad de empresas entre el fin del cupo 2 (septiembre de 2021) y principio del cupo 3 (octubre de 2021) se concentró en las empresas micro y pequeñas, tanto PH como PJ. En dicho periodo, comenzó un periodo de relajamiento de las medidas de distanciamiento social y, por ende, la actividad económica empezaba a normalizarse. Este factor podría haber influido en la decisión de no renovar el financiamiento.
92 En el análisis del historial de eventos es habitual considerar tanto modelos descriptivos no paramétricos, como modelos de tasa de transición semi-paramétricos. En el transcurso de la investigación utilizamos ambos recurriendo, primero, al método de Kaplan y Meier, de tipo no paramétrico, y, segundo, al modelo de Cox, de tipo semi-paramétrico.
93 Kaplan, E. L., and P. Meier. 1958. Nonparametric estimation from incomplete observations. Journal of the American Statistical Association 53: 457–481, Cox, D. R. 1972. Regression models and life-tables (with discussion). Journal of the Royal Statistical Society, Series B 34: 187–220 y Cox, D. R. 1975. Partial likelihood. Biometrika 62: 269–276.
94 El seguimiento se realiza hasta los 16 años pues contamos con una ventana de observación de sólo cuatro años por lo que, al iniciar desde los 13 años, debemos concluir al cumplir 17 años.
95 El conjunto de variables cuya incidencia se exploró incluye si la apertura de la cuenta ocurrió en una entidad financiera (pública o privada) o en un proveedor de servicio de pago, ciertas características de la localidad en la que reside la persona que abre la cuenta (si su población es superior o menor a 10.000 habitantes, si posee sucursal o cajeros de bancos públicos o privados) y atributos propios de la persona (por ejemplo, el género y edad de las personas).
96 La apertura de cuentas fue impulsada también por políticas públicas orientadas a enfrentar la caída de ingresos de personas trabajadoras independientes.
97 Se utilizaron test de hipótesis para contrastar la hipótesis.
98 Los pagos electrónicos han avanzado pero aún el uso del efectivo se mantiene como principal medio de pago. En 2022, el 59% de las transacciones en lugares de venta se realizaron en efectivo en la zona euro. En países como Italia, España y Alemania, estas cifras alcanzaron al 69%, 66% y 63%, respectivamente. Banco de España (2023) y Banco Central Europeo (2022).
99 La encuesta estipula tres tipos de respuestas sobre el uso de efectivo: (a) lo usa habitualmente, (b) lo usa poco y (c) no lo usa. Primer informe sobre endeudamientos, géneros y cuidados en la Argentina. Equipo de trabajo de la CEPAL y el Ministerio de Economía de la Argentina. 2023.
100 Encuesta Nacional de Gastos de los Hogares 2017-2018. Informe de ingresos. INDEC. Junio de 2020.
101 Según Khiaonarong y Humphrey (2022), el valor de los retiros de efectivo es un indicador aproximado del uso de efectivo como medio de pago.
102 En función de la regulación prudencial, las localidades de todo el país están agrupadas en 6 categorías según el nivel de infraestructura física financiera y ciertos índices de desarrollo financiero (de I a VI, de mayor a menor nivel de infraestructura / desarrollo financiero). Los datos de retiros de efectivo se presentan en 4 grupos dado que las últimas 3 categorías (de la IV a la VI) están agregadas en un mismo conjunto.
103 También pueden existir comportamientos diferenciales a partir de otras características como el rango etario, nivel educativo y habilidades digitales, entre otras. En función de la información disponible, en este apartado se analizan principalmente las variables referidas a la inserción laboral formal y el nivel de ingreso formal.
104 Disponibles para los trimestres de junio de 2021 a diciembre de 2022.
105 La actividad de los tenedores de cuentas mide la proporción de tenedores cuyas cuentas registraron al menos una operación a lo largo de un trimestre. Estas operaciones contemplan los débitos realizados mediante transferencias inmediatas, pagos con transferencias en línea, transacciones con cheques y débitos directos, y corresponden a transacciones liquidadas por COELSA. Este indicador puede estar subestimado al no contemplar otras operaciones como pagos con tarjetas de débito y transferencias que no son liquidadas en el ámbito de COELSA.
106 Ver Infraestructura Digital en la Sección 1 de este informe.
107 Ver, por ejemplo, Alonso, M., E. Gutiérrez, E. Moral-Benito, D. Posada y P. Tello-Casas (2023). Un Repaso de las diversas iniciativas desplegadas a nival nacional e internacional para hacer frente a los riesgos de exclusión financiera, Documento Ocasional N° 2305, Banco de España.
108 TO Proveedores de Servicios de Pago.
109 ¿Qué es una MiPyME?
110 Determinación de las condiciones de MiPyME. Punto 1, BCRA.
111 Ver Glosario, CAFCI.



