Política Monetaria
Informe de Política Monetaria (IPOM)
Segundo Trimestre 2018
Informe trimestral que presenta el análisis macroeconómico y los lineamientos de política monetaria del BCRA.
Índice
Capítulos
1. Política monetaria: evaluación y perspectivas
2. Contexto internacional
3. Actividad Económica y Empleo
4. Precios
5. Política Monetaria
Apartados
1. Complementariedades de la economía argentina con Brasil
2. Evaluación del desempeño de la Predicción Contemporánea del Producto del BCRA
3. El impacto directo de la sequía
4. La intervención cambiaria en regímenes de metas de inflación
5. Efectos de las transferencias del BCRA al Tesoro Nacional en el esquema de metas de inflación
Por consultas, escribir a analisismacro@bcra.gob.ar
Síntesis
Como lo indica su Carta Orgánica, el Banco Central de la República Argentina “tiene por finalidad promover, en la medida de sus facultades y en el marco de las políticas establecidas por el Gobierno Nacional, la estabilidad monetaria, la estabilidad financiera, el empleo y el desarrollo económico con equidad social”.
Sin perjuicio del uso de otros instrumentos más específicos para el cumplimiento de los otros mandatos —tales como la regulación y la supervisión financiera, la regulación cambiaria, y la innovación en instrumentos de ahorro, crédito y medios de pago— el principal aporte que la política monetaria puede hacer
para que la autoridad monetaria cumpla todos sus mandatos es enfocarse en el de la estabilidad de precios.
Con inflación baja y estable, las entidades financieras pueden estimar mejor sus riesgos, lo que asegura una mayor estabilidad financiera. Con inflación baja y estable, los productores y empleadores tienen más previsibilidad para inventar, emprender, producir y contratar, lo que promueve la inversión y el empleo. Con inflación baja y estable, las familias de menor poder adquisitivo pueden preservar el valor de sus ingresos y sus ahorros, lo que hace posible el desarrollo económico con equidad social.
La contribución de una inflación baja y estable a estos objetivos nunca se hace tan evidente como cuando no existe: la huida de la moneda local puede desestabilizar al sistema financiero y desembocar en crisis, la destrucción del sistema de precios complica la productividad y la generación de empleo genuino, el impuesto inflacionario golpea a las familias más vulnerables y propicia redistribuciones de riqueza en favor de las más pudientes. Una inflación baja y estable previene todo esto.
En línea con esta visión, el BCRA adoptó formalmente un régimen de Metas de Inflación que entró en vigencia a partir de enero de 2017. Como parte de este nuevo régimen, la institución publica en forma trimestral su Informe de Política Monetaria. Sus principales objetivos son comunicar a la sociedad cómo el Banco Central percibe la dinámica inflacionaria reciente y cómo anticipa la evolución de los precios, y explicar de manera transparente las razones de sus decisiones de política monetaria.
1. Política monetaria: evaluación y perspectivas
La inflación se aceleró en el primer trimestre de 2018 respecto al último trimestre de 2017 alcanzando un promedio mensual de 2,2%. La suba de la inflación respondió al impacto del aumento de las tarifas de los servicios públicos y, en menor medida, a la depreciación del peso observada entre diciembre de 2017 y febrero de 2018. La inflación núcleo presentó trayectorias similares en los veranos de 2017 y 2018, aun cuando este año se registraron aumentos significativamente mayores de precios regulados y de tipo de cambio (ver Gráfico 1.1).
El BCRA considera que esta mayor inflación es transitoria y que, superados los factores señalados, consolidará su tendencia a la baja y la inflación mensual se ubicará en valores que la economía argentina no registra desde la crisis financiera global. Esta perspectiva favorable se basa en que: a) la política monetaria muestra un sesgo más contractivo que el observado en la primera mitad del año pasado; b) el proceso de ajuste de precios regulados es menor que el de 2017 y, al concentrarse en el primer cuatrimestre, se desacelerará fuertemente después de abril; c) no se prevén depreciaciones significativas del peso debido a los fundamentos macroeconómicos y a la propia acción del Banco Central, y d) las negociaciones salariales del sector público y privado se están pactando en torno a la pauta de 15%.
Considerando que las presiones sobre los precios respondían a factores temporales, el Banco Central mantuvo sin cambios la tasa de interés de política luego de la reducción que se había decidido en enero para hacerla compatible con la menor desinflación requerida por la nueva meta intermedia. Sin embargo, el corrimiento en un año de la meta de inflación de 5%, la reconfiguración de las metas intermedias para 2018 y 2019 y la baja en la tasa de interés de política en el inicio del año fueron interpretados por el mercado como la antesala de un relajamiento excesivo de la política monetaria (ver Gráfico 1.2). Esto derivó en una dinámica de depreciación del peso que reflejaba una visión del mercado sobre el futuro de la política monetaria que no se correspondía con la visión del Banco Central. En ese contexto, y de forma complementaria al manejo de la tasa de interés, el Banco Central intervino en el mercado cambiario desde principios de marzo. Una depreciación del peso mayor a la registrada hasta ese momento no estaba justificada por factores económicos reales ni por el curso previsto de su política monetaria y, de no evitarse, podría afectar el proceso de desinflación. Los analistas han comenzado a incorporar un comportamiento más contractivo del BCRA que el que preveían a fin de enero, y las expectativas de tasa de política monetaria ya están al nivel de las esperadas en diciembre de 2017 (ver Gráfico 1.2).
La economía continúa creciendo a un ritmo sostenido y con baja volatilidad. En línea con lo anticipado en el IPOM de enero, el producto interno bruto (PIB) tuvo un crecimiento sin estacionalidad de 4% anualizado en el cuarto trimestre de 2017, manteniendo un ritmo similar al del resto del año pasado. Durante el primer trimestre de 2018 la economía continuó expandiéndose, completando siete trimestres de crecimiento ininterrumpido por primera vez desde 2011. La última Predicción Contemporánea del PIB del BCRA (PCP-BCRA) indica un alza trimestral de 0,73% sin estacionalidad para el primer trimestre de 2018. La inversión cerró 2017 con un fuerte crecimiento, alcanzando un máximo histórico de gasto en equipo durable de producción; y se prevé que continúe liderando la expansión del gasto agregado en 2018.
La visión del BCRA es que la tasa de inflación descenderá una vez que queden atrás los factores transitorios arriba mencionados. Para consolidar este escenario la autoridad monetaria extremará la cautela con la que la tasa de política monetaria acompañará la caída de la inflación, se mantendrá atento en el mercado de cambios para evitar movimientos inconsistentes con su visión de política monetaria y sobre su compromiso con la desinflación y estará listo para actuar ajustando su tasa de política monetaria al alza si el proceso de desinflación no transita por el sendero esperado. El sesgo contractivo de la política monetaria será así utilizado para alcanzar las metas intermedias de 15% de inflación en 2018, 10% en 2019 y objetivo de 5% en 2020. De esta manera continuará promoviendo la estabilidad monetaria, la estabilidad financiera, el empleo y el desarrollo económico con equidad social.
2. Contexto internacional
La actividad económica mundial continuó mejorando en los últimos meses, tanto en los países avanzados como emergentes. Siguió observándose un desempeño positivo de los mercados financieros internacionales, aunque con cierto deterioro en el margen. Continúan siendo relativamente favorables las condiciones crediticias para Argentina, tanto para el sector público como para las empresas. Por otro lado, los precios de las principales materias primas de exportación de Argentina se incrementaron en los últimos tres meses.
Los temores a una suba más abrupta de la tasa de política monetaria de Estados Unidos, junto con el creciente número de medidas proteccionistas que han adoptado algunos países han incrementado la volatilidad de los mercados financieros internacionales. Estas medidas aún no impactaron en las proyecciones de crecimiento global pero, de profundizarse, afectarían las perspectivas de crecimiento y a los mercados financieros.
2.1 En 2018 se espera un mayor nivel de actividad de los socios comerciales de Argentina
Los indicadores líderes de actividad de las principales economías se encuentran en todos los casos en zona de expansión, aunque muestran en el margen cierta desaceleración que sería momentánea de acuerdo a las proyecciones de crecimiento para 2018 y 2019 del FMI (Fondo Monetario Internacional). Por otro lado, según los datos más recientes, la inflación continuó incrementándose. Más específicamente, la inflación de los Estados Unidos se encuentra en torno de la meta, la del Reino Unido se ubica 0,7 p.p. por encima (aunque con una tendencia decreciente), y en la zona del euro y en Japón se encuentra por debajo, aunque con una tendencia alcista (ver Gráfico 2.1).
Los indicadores más recientes confirman que Brasil, nuestro principal socio comercial y actor protagónico en el desempeño económico de la región, continúa con un sostenido ritmo de crecimiento. Las últimas proyecciones de la encuesta Focus —que realiza el banco central de dicho país, BCB, entre analistas de mercado— prevén un crecimiento del PIB de 2,8% para 2018. Esta cifra se ubica levemente por encima del 2,7% proyectado al momento de publicarse el IPOM anterior, y es marcadamente superior al crecimiento registrado en 2017, en torno al 1%. Los primeros datos de 2018 confirman esta tendencia ya que el Índice de Actividad Económica elaborado por el BCB aumentó en enero 3% i.a.
Por su parte, el BCB continuó reduciendo la tasa de interés de política monetaria (el objetivo sobre la tasa Selic) frente a tasas de inflación decrecientes. La inflación de 2017 (2,95%) estuvo por debajo de la meta de 4,5% ± 1,5 % establecida por el BCB. Además, según las proyecciones de la encuesta Focus, la inflación se ubicaría en el rango inferior de la meta en 2018. Por todo esto, la misma encuesta prevé una nueva reducción de la tasa Selic de 0,25 p.p, a diferencia del IPOM anterior donde esto no se preveía. La tasa de política monetaria en términos reales siguió reduciéndose (ver Gráfico 2.2).
La zona del euro, segundo destino de las exportaciones argentinas, mantiene un ritmo sostenido de crecimiento, según los datos del cuarto trimestre de 2017 y los indicadores adelantados del primero de 2018 (aunque con una leve desaceleración en el margen en este último caso). El PIB creció 2,7% en términos interanuales en 2017, y 0,6% durante los últimos tres meses de 2017. Las últimas proyecciones del Banco Central Europeo (BCE) indican un crecimiento de 2,4% y 1,9% para 2018 y 2019 respectivamente, (0,1 p.p más que en la proyección anterior para 2018, sin cambios para 2019). Por último, los datos más recientes del mercado laboral en febrero muestran una tasa de desempleo de 8,5%, el menor valor desde diciembre de 2008.
El BCE mantuvo en la reunión de marzo su tasa de interés de política monetaria en el mínimo histórico de 0%. A su vez, no modificó el corredor de tasas, dejando la tasa de interés de la facilidad de crédito en 0,25% y la tasa de interés de la facilidad de depósito en -0,4%1. Por último, el BCE mantuvo la inflación proyectada para 2018, en 1,4%, 0,1 p.p. por debajo de la inflación de 2017.
Los Estados Unidos —tercer destino de las exportaciones argentinas— crecieron 2,3% en 2017. Por su parte, la Reserva Federal (Fed) aumentó sus proyecciones de crecimiento tanto para 2018 como para 2019, a 2,7% y 2,4% respectivamente (0,2 p.p y 0,3 p.p. más que en la proyección vigente en el IPOM anterior). Este aumento en las proyecciones de crecimiento está en parte vinculado al estímulo fiscal producto de la reforma tributaria recientemente aprobada. La tasa de desempleo (4,1% en marzo) continua en su menor valor desde fines de 2000, y por debajo de los niveles que se estima que no aceleran la inflación (NAIRU, por sus siglas en inglés). Si bien se incrementó la tasa de participación de la PEA, también lo hizo la tasa de empleo. Por otro lado, del análisis de otros indicadores como la diferencia entre el PIB y la tendencia del PIB de los Estados Unidos surge que existe margen para continuar con tasas de crecimiento positivas, sin que esto implique necesariamente una aceleración de la inflación (ver Gráfico 2.3)2.
Como era ampliamente esperado por el mercado, el Comité de Política Monetaria (FOMC) de la Fed incrementó nuevamente en su reunión de marzo la tasa de interés de referencia al rango 1,5-1,75%. La Fed proyecta nuevos incrementos de 0,5 p.p. durante 2018, mientras que para fines de 2019 el FOMC proyecta una tasa de política monetaria 1,5 p.p. por encima de la de fines de 2017. Al mismo tiempo, la Fed continua con el proceso de normalización de su balance.
Por último, China, principal destino de las exportaciones argentinas de productos primarios, tuvo durante 2017 un crecimiento del PIB de 6,9%, impulsado principalmente por el consumo y la inversión. Durante 2017 continuó el proceso de rebalanceo de su economía con un creciente peso del consumo en la demanda agregada, y uno decreciente de la inversión (la cual, no obstante, aún se encuentra en niveles elevados); a la vez, se redujeron los niveles de endeudamiento que financian esas inversiones. Las proyecciones más recientes para 2018 muestran un menor crecimiento del PIB, en torno a 6,6%, principalmente debido al menor crecimiento esperado de las exportaciones.
2.2 El escenario financiero externo continúa siendo favorable, aunque con algunas señales de alerta
Las condiciones globales de liquidez continúan siendo holgadas para los países emergentes en general y para Argentina en particular, aunque empeoraron en el margen. Durante febrero y marzo hubo un aumento significativo en la volatilidad de los mercados, junto con un mayor rendimiento de los títulos públicos de Estados Unidos (ver Gráfico 2.4). Ello estuvo relacionado a datos del mercado de trabajo en los Estados Unidos (que hacían más probable un mayor ritmo en los incrementos de la tasa de interés de referencia de la Fed), al creciente temor a una guerra comercial entre Estados Unidos y China, junto con tensiones geopolíticas (ver Gráfico 2.5), y la posible creación de nuevos impuestos a las “empresas digitales”, entre otros factores.
Durante el primer trimestre de 2018, los países emergentes enfrentaron primas de riesgo soberano similares a las registradas en los últimos años, alcanzando un mínimo a inicios de febrero y registrando una leve corrección al alza en el margen. Las primas de riesgo corporativo exhibieron un comportamiento similar, destacándose que aún se ubican en torno a los niveles mínimos de 2017.
Para Argentina, las condiciones crediticias externas exhibieron cierto deterioro en lo que va de 2018. A inicios de abril el costo de financiamiento externo soberano se ubicaba alrededor de 60 p.b. por encima del promedio del último trimestre de 2017. Este incremento estuvo determinado principalmente por la suba de la tasa de financiamiento externo libre de riesgo, en línea con las políticas monetarias de los principales bancos centrales del mundo3. En tanto, a lo largo de 2018 la prima de riesgo corporativo (CEMBI+ Argentina) reflejó una trayectoria similar a la prima de riesgo soberano, aunque con un aumento menor (ver Gráfico 2.6).
El monto de las emisiones brutas de deuda soberana y corporativa de países emergentes en los mercados internacionales se ralentizó en el primer trimestre del año. Tras crecer 38% anual en 2017 (con un incremento en la participación de las colocaciones del sector privado), en el primer trimestre de 2018 se dio un crecimiento de 7% interanual de las colocaciones corporativas y un estancamiento de las soberanas. En el caso argentino, el monto de emisiones brutas de deuda en los mercados internacionales creció 5% en los primeros meses de 2018 (total de colocaciones soberanas y corporativas). Las emisiones soberanas argentinas pasaron de un monto de US$7.000 millones en el primer trimestre de 2017 a US$9.000 millones en el mismo trimestre de 2018, mientras que las corporativas cayeron de casi US$2.300 millones a US$750 millones en igual período.
La combinación de un escenario externo menos favorable y la sequía que afectó los saldos exportables condujo a una depreciación del tipo de cambio real multilateral de Argentina, que de todas formas se mantuvo alrededor de los niveles registrados con posterioridad a la adopción del régimen de tipo de cambio flotante. El Índice de Tipo de Cambio Real Multilateral (ITCRM) subió 8,2% en el primer trimestre de 2018, producto de una depreciación nominal del peso respecto al dólar en simultáneo con una apreciación frente al dólar de las monedas de los principales socios comerciales del país. La mayor inflación relativa de la economía doméstica morigeró parcialmente la depreciación nominal. La volatilidad exhibida por el tipo de cambio real de la Argentina es similar a la de otros países de la región con regímenes cambiarios semejantes (ver Gráfico 2.7).
Por otra parte, los precios internacionales de los bienes primarios medidos en dólares4 subieron 7% en los últimos 3 meses, impulsados por el incremento de 7% en los productos agropecuarios —con subas de precios en los productos del complejo sojero de 11% desde diciembre de 2017 (17% i.a.), debido a la sequía que afectó la cosecha gruesa en Argentina—. En menor medida, incidió el aumento de 3% en el valor internacional del petróleo crudo. En términos interanuales, crecieron 9%, con una marcada suba de 29% i.a. en el caso del petróleo y aumentos de 5% i.a. y 10% i.a. en el caso de los productos agropecuarios y de los metales, respectivamente (ver Gráfico 2.8).
Recientemente, China anunció la imposición de un arancel del 25% sobre las importaciones de soja desde los Estados Unidos5. Inmediatamente después del anuncio, el precio se redujo acumulando una caída de 3% (luego revirtió la caída). Esto se puede entender a través del modelo de Gardner y Kimbrough (1990)6. Debido a que no hay ningún otro productor de soja a nivel global capaz de sustituir completamente la oferta de los Estados Unidos, el precio de ésta para los importadores chinos debería aumentar, por lo que la cantidad consumida por éstos debería disminuir. Dado que China es uno de los principales demandantes de este producto, el precio de mercado de la soja podría reducirse en los mercados mundiales en los próximos meses. Sin embargo, para los productores argentinos, sobre los cuales no se ha impuesto ningún arancel, el precio de la soja efectivamente cobrado no debería caer e incluso podría mejorar respecto de las condiciones previas a la medida de China7. Ellos podrían aprovechar la brecha ocasionada por dicho arancel, vendiendo a un precio superior al recibido por los productores de Estados Unidos.
Por último, los términos del intercambio (cociente entre los precios de las exportaciones y de las importaciones argentinas)8 se redujeron levemente en el primer trimestre de 2018, producto de un alza mayor de los precios de importación que de los precios de las exportaciones. De todos modos, se ubican en un nivel similar al promedio de los últimos 2 años, en torno al cual han estado oscilando en los últimos trimestres (ver Gráfico 2.9).
Resumiendo, se espera una mejoría en el nivel de actividad global, especialmente en los principales socios comerciales de Argentina, con un impacto positivo las exportaciones. Las condiciones de financiamiento para los mercados emergentes siguen siendo favorables, aunque con algunas señales de alerta en el margen. Sin embargo, este escenario podría deteriorarse si se acelera el retiro del estímulo monetario por parte de la Fed, o si se profundizan las medidas proteccionistas.
3. Actividad económica
La economía continúa en una fase de expansión, creciendo a un ritmo sostenido. La inversión cerró 2017 con un fuerte aumento y se prevé que continúe liderando la expansión del gasto agregado en 2018. El consumo privado crecerá por las perspectivas favorables de incremento del empleo y el crédito. En contraste, el consumo público creció por debajo del resto de los componenres, en línea con la consolidación fiscal prevista. Las exportaciones aportarían positivamente impulsadas por el mayor crecimiento de nuestros socios comerciales, en particular la recuperación de la economía brasileña, más que compensando el impacto de la sequía sobre las cantidades exportadas. A nivel sectorial, la fase de expansión resulta difundida y acompañada con incrementos en la productividad en la mayoría de los sectores. El BCRA prevé un impacto negativo de la sequía sobre el PIB en el segundo trimestre de 2018, aunque varios factores hacen prever que ese efecto será amortiguado sin afectar las perspectivas de crecimiento de mediano plazo. Esta visión es compartida por los participantes del Relevamiento de Expectativas de Mercado (REM), quienes proyectan que el crecimiento se desacelerará en 2018 (2,5%) para luego volver a crecer 3,1% y 3,0% en 2019 y 2020, respectivamente.
3.1 La economía continúa en expansión luego de superar el máximo anterior
En línea con lo anticipado en el IPOM de enero, el PIB creció 4% s.e. anualizado en el cuarto trimestre de 2017, manteniendo un ritmo de expansión similar durante 2017 (ver Apartado 2. Evaluación del Desempeño de la Predicción Contemporánea del Producto del BCRA). Durante el primer trimestre de 2018 la economía continuó expandiéndose, completando siete trimestres de crecimiento ininterrumpido por primera vez desde 2011. La última Predicción Contemporánea del PIB del BCRA (PCP-BCRA) indica un alza trimestral de 0,73% sin estacionalidad (s.e.). El nivel de actividad económica se ubicaría al final del primer trimestre un 2% por encima del máximo alcanzado en 2013 y 2015. En esos años, el pico de actividad fue seguido por recesiones que implicaron caídas acumuladas del PIB de 3,9% y 3,4% respectivamente, poniendo en evidencia restricciones en la oferta productiva (ver Gráfico 3.1). La fase de expansión actual se destaca tanto por su mayor duración respecto a las últimas tres recuperaciones como por su baja volatilidad.
El Indicador Líder de la Actividad (ILA) del BCRA no arroja señales de que la recuperación económica que comenzó en el tercer trimestre de 2016 se esté agotando9 (ver Gráfico 3.2). Si bien la sequía que afectó gran parte de las principales zonas agrícolas del país impactará negativamente en la actividad económica en el segundo trimestre, se prevé que ese shock adverso sea transitorio.
3.1.1 La inversión es el componente de la demanda con mayor incidencia en el crecimiento
En el cuarto trimestre de 2017, la demanda interna creció 2,2% s.e., destacándose la fuerte suba de la inversión (formación bruta de capital fijo; 7,4% trimestral s.e.). En relación a un año atrás la demanda local creció 7,3%, con una incidencia de 4 puntos porcentuales (p.p.) de la inversión (ver Tabla 3.1). El consumo privado aumentó 1,3% s.e. (4,8% i.a.) en el último trimestre del año, mientras que el consumo público cayó 0,8% s.e. (creció 1,4% i.a.).
De esta manera, la fase expansiva iniciada en la segunda mitad de 2016 se caracteriza por un fuerte dinamismo de la inversión, con un desempeño superior al observado en las recuperaciones anteriores. En el cuarto trimestre de 2017, tras seis trimestres consecutivos de crecimiento, la inversión se ubicó un 11,5% por encima de su tendencia de mediano plazo (ver Gráfico 3.3).
El crecimiento de la inversión en el cuarto trimestre de 2017 respondió a la suba combinada del gasto real en construcción (3,9% trimestral s.e.) y en equipamiento durable de producción (8,5% s.e.), con una destacable mejora relativa del equipamiento de origen nacional (11,7% s.e.). En promedio en 2017 la inversión aumentó 11,3% i.a., la mayor suba desde 2011.
La tasa de inversión10 se ubicó a fines de 2017 en 21,8%, muy cerca del máximo registrado en el tercer trimestre de 2011 (22,1%) y con una mayor participación del gasto en equipamiento durable11, que alcanzó un máximo histórico (13,9% del PIB). La construcción también ganó participación en el Producto desde mediados de 2016, aunque se ubica por debajo del nivel de 2011 (ver Gráfico 3.4).
En el primer trimestre de 2018, los indicadores adelantados sugieren que la demanda interna continuó en aumento, impulsada por la inversión en un contexto de precios relativos favorables. El ratio Q, que relaciona el valor de mercado de los activos invertidos con el costo “real” de reposición de los mismos, sostuvo su tendencia positiva en el comienzo de 2018. Cuando ese ratio sube, la inversión responde positivamente, con excepción del período 2013- 2015 que es atípico, evidenciando el impacto de las restricciones cambiarias (cepo) y de la expectativa de reformas económicas que mejorarían el clima de negocios. Este optimismo del mercado no se plasmó en un incremento de la inversión hasta que el reordenamiento macroeconómico se concretó. El fuerte incremento del ratio Q durante 2017 y comienzos de 2018 permite prever que la inversión continuará mostrando una dinámica positiva en los próximos meses (ver Gráfico 3.5).
Las cantidades importadas de bienes de capital subieron 2,5% s.e. en el primer bimestre de 2018 en relación con el último trimestre de 2017. Con datos a febrero, el indicador IBIF-BCRA12, cuya variación es un promedio ponderado de las variaciones de los indicadores adelantados, se incrementó 0,2% s.e. respecto del trimestre anterior (11,3% i.a.). En el mismo sentido, el Índice Coincidente de Inversión elaborado por el Ministerio de Hacienda registró una suba de 13,7% i.a.
3.1.2 El consumo privado continúa en alza, con mayor inclinación hacia bienes durables
El consumo privado aumentó 1,3% trimestral s.e. en el cuarto trimestre de 2017 (4,8% i.a.) en un contexto de suba de la masa salarial en términos reales y de expansión del crédito a las familias. En el promedio del año el consumo privado aumentó 3,6% en relación a 2016.
Distintos indicadores señalan que esa trayectoria creciente se habría sostenido en el comienzo de 2018. Con datos de febrero, el Indicador Líder del Consumo privado del BCRA13 presentó una suba de 0,9% s.e. con respecto al último trimestre de 2017 (ver Gráfico 3.6). Por su parte, el Índice Coincidente de Consumo del Ministerio de Hacienda, aumentó 0,5% s.e. en el primer bimestre. Los préstamos personales y con tarjetas de crédito crecieron en conjunto en el primer trimestre 3,2% s.e. respecto al trimestre anterior en términos reales.
Los indicadores parciales señalan una mayor preferencia relativa de los consumidores por bienes durables. Desde el inicio de la recuperación económica en el tercer trimestre de 2016 hasta el último dato disponible, las unidades vendidas de automóviles en el mercado interno acumularon una suba de 31% s.e. y las de electrodomésticos y de artículos para el hogar de 22,6% s.e. En el mismo lapso, en los centros de compra del Gran Buenos Aires, las ventas reales de bienes durables crecieron 7,6% s.e. mientras que el resto de las ventas cayeron 7,1% s.e14. También mostraron aumentos las ventas de autos y de motos usados. Por su parte, la Cámara Argentina del Comercio Electrónico (CACE) señaló que durante 2017 se realizaron más de 60 millones de órdenes de compra, un 28% más que en 2016. Entre las categorías más compradas, además de pasajes y turismo, figuran Electro y aire acondicionado, Electrónica, audio y video, Hogar y muebles de jardín y Computación.
La mayor demanda relativa de bienes durables respecto a los no durables también se verifica en las importaciones de bienes de consumo. Entre el tercer trimestre de 2016 y febrero de 2018, las cantidades importadas acumularon un alza de 21,8% s.e, que se componen de un fuerte aumento de autos (68,5% s.e.), equipos de transporte de pasajeros (35,5% s.e.), otros bienes duraderos (27% s.e.), mientras que los bienes no duraderos tuvieron una suba menor (7% s.e.; Grafico 3.7).
3.1.3 La cuenta corriente refleja la expansión de la demanda interna
En 2017 la cuenta corriente reflejó el mayor dinamismo de la absorción en relación al Producto, por el fuerte repunte de la inversión que requirió un mayor financiamiento por parte del resto del mundo. El desahorro público continuó siendo importante pero se iría estabilizando, en línea con el cumplimiento de las metas fiscales (ver Gráfico 3.8; Recuadro Cuenta corriente, Ahorro e Inversión).
Recuadro. Cuenta corriente, ahorro e inversión
El incremento registrado en el déficit de cuenta corriente de la balanza de pagos internacionales durante los últimos doce años se explica en gran medida por el deterioro de las cuentas públicas.
Para efectuar el análisis se realizó un cálculo de la brecha entre el ahorro nacional y la inversión interna. La brecha del sector público15 reflejó un deterioro de alrededor de 8 puntos porcentuales del PIB entre 2006 y 2017, período en el cual el saldo de la cuenta corriente se contrajo por una magnitud similar. En tanto, la brecha del sector privado y financiero osciló en torno a 1 p.p. del PIB (ver Gráfico 3.9).
Pueden distinguirse dos períodos en función de la dinámica del ahorro y de la inversión de los sectores: entre 2006 y 2015 y los últimos dos años. El primer período se caracteriza por una caída del ahorro privado, del ahorro público y de la inversión privada. Entre 2006 y 2015 el ahorro público cayó 6 p.p. del PIB por los aumentos del consumo público y las transferencias a privados, pese al aumento de la presión tributaria de 7 p.p. del PIB. En cambio, entre 2016 y 2017 el sector privado transitó hacia mayores tasas de ahorro e inversión, en el marco de una menor presión tributaria y mayores rentas pagadas al sector privado, lo cual implicó que el ahorro público cayera 2 p.p. adicionales del Producto (ver Gráficos 3.10 y 3.11).
Gráfico 3.10 | Cuenta corriente y brecha entre ahorro nacional e inversión (a precios corrientes; prom. móvil 4 trim.)
La relevancia de los pagos netos de rentas a los factores del exterior se pone de manifiesto cuando, al excluirlos del cálculo del ahorro y de la inversión (es decir sólo considerando las transacciones comerciales con el resto del mundo), tanto el ahorro público como el privado registran mejoras. La brecha del sector público se redujo en el margen en 1,3 p.p. del PIB, en tanto que la del sector privado mejoró casi 1 p.p. del Producto (ver Gráfico 3.12).
Gráfico 3.12 | Balanza comercial y brecha entre ahorro interno e inversión (a precios corrientes; prom. móvil 4 trim.)
En 2017 el sector privado contribuyó en mayor proporción al financiamiento del déficit de cuenta corriente a diferencia de 2016, cuando los ingresos netos de capital del sector público habían tenido un rol preponderante. La suma de ingresos por inversión directa y por instrumentos de cartera emitidos por el sector privado se encuentran en un máximo histórico. Esta evolución es esperable en un contexto de mayor integración financiera tras la resolución del conflicto con los acreedores externos en 2016 (ver Gráfico 3.13).
En los primeros meses de 2018 se observan ciertos cambios en la dinámica del sector externo: las cantidades exportadas de bienes crecieron 8% s.e. respecto al cuarto trimestre de 2017 y acumulan 16% s.e. desde junio de 2017. A lo largo de este período se destacaron los envíos de cereales, carnes, metales comunes y vehículos. La difusión del crecimiento de las exportaciones se expandió en los últimos seis meses, en particular en las ventas de manufacturas de origen industrial, estrechamente vinculadas con la economía brasileña. El incremento de las exportaciones se dio a pesar del desempeño adverso del complejo sojero agrícola, afectado por la gestión de existencias de los productores (ver Gráfico 3.14).
Las cantidades importadas se encuentran en torno a los máximos históricos durante el primer trimestre de 2018, mostrando una desaceleración. Se prevé que el crecimiento de las importaciones acompañe al ciclo económico con una menor elasticidad16.
El vigoroso crecimiento de las importaciones observado entre 2016 y 2017 refleja el mayor rol protagónico que tuvo la inversión en la recuperación actual respecto de las anteriores. En efecto, en el proceso de crecimiento que se inició en el segundo semestre de 2016 las importaciones de bienes de capital explicaron un 35% del aumento total de las importaciones, valor superior al registrado en las recuperaciones previas (ver Gráfico 3.15).
3.1.4 El crecimiento fue altamente difundido entre los sectores productivos
Durante 2017 la mayor parte de las 56 ramas de la actividad económica tuvieron un desempeño favorable. En el cuarto trimestre, el índice de difusión que contabiliza el porcentaje de ramas que crecieron con respecto a igual período del año anterior se ubicó en 76,8%, el máximo desde el año 2011 (ver Gráfico 3.16).
Las políticas dirigidas a favorecer el acceso al crédito, mejorar la infraestructura y reducir las distorsiones al comercio exterior tuvieron un impacto positivo en distintas actividades que lideraron el crecimiento en 2017. La construcción (+16% i.a.), la intermediación financiera (+6,8% i.a.), la actividad inmobiliaria (+3,6% i.a.) y el agro (+3,8% i.a.) crecieron muy por encima del promedio17. La mejora de estos sectores impulsó otras actividades como el comercio (+4,9% i.a.), el transporte (+5,5% i.a.) y la extracción de minerales metálicos (2,7% i.a.). Esta última junto con la extracción de carbón, gas y petróleo (1,2% i.a.), conformó un aumento de 1,4% i.a. de la minería en su conjunto (ver Gráfico 3.17).
La actividad industrial registró una evolución heterogénea. Las ramas vinculadas a la inversión (maquinaria, equipamiento y construcción), al consumo durable (automotriz y muebles) y a la exportación (automotriz y productos metálicos) lideraron el crecimiento industrial. La elaboración de alimentos y bebidas disminuyó 1,6% i.a., afectada por la baja producción de lácteos y la menor molienda.
Los sectores de servicios más disociados del ciclo económico se desaceleraron creciendo a tasas inferiores al 2%: educación (+1,3%), salud (+1,7%), administración pública (+0,.3%) y servicio doméstico (+1%).
Los únicos sectores que se contrajeron en el cuarto trimestre de 2017 con respecto a igual período del año anterior fueron electricidad, gas y agua (-0,9%) y la actividad pesquera (-0,9%). En el primer caso el sector se vio afectado por la caída en la demanda residencial y la reducción de subsidios. La pesca registra una elevada volatilidad, mientras que en el cuarto trimestre cayó levemente, el promedio de 2017 exhibe un fuerte crecimiento de 14% i.a.
El crecimiento económico de 2017 se basó en incrementos tanto del empleo como de la productividad por trabajador registrado. El empleo registrado total se incrementó alcanzando en el cuarto trimestre de 2017 un nivel 2% superior al de 2016, mientras que el informal creció 4,6% i.a. En particular el empleo asalariado formal privado subió a un ritmo de 1,3% i.a. Ello permitió reducir la tasa de desempleo a 7,2%, 0,4 p.p. menos que igual trimestre de 2016, en un contexto de mayor oferta laboral.
La productividad por empleado registrado subió 2,4% i.a. y fue generalizada a nivel sectorial destacándose las mejoras en la industria, el agro, el comercio y las actividades inmobiliarias y empresariales (ver Gráfico 3.18).
Al término del cuarto trimestre de 2017 se observó una mejora en la distribución del ingreso per cápita18. Esta mejora se dio en el marco de una recuperación del salario privado real y caída de la pobreza. En particular, las remuneraciones de los asalariados privados registrados subieron 2% i.a. en términos reales en el cuarto trimestre de 201719 y la pobreza se redujo 4,6 p.p alcanzado a 25,7% de la población durante la segunda mitad del año.
3.2 Un balance positivo para 2017 y perspectivas de crecimiento consolidadas para los próximos dos años
Durante 2017 la economía creció ininterrumpidamente a un ritmo promedio de 4% anualizado y en el primer trimestre de 2018 completó siete trimestres consecutivos de crecimiento. Esta fase de expansión tiene la particularidad de ser liderada por la inversión (creciendo 21% interanual en el cuarto trimestre de 2017 y representando un 22% del PIB).
El BCRA prevé que la economía continúe en una fase de crecimiento que comenzó en el segundo trimestre de 2016, caracterizada por una fuerte reducción en la volatilidad del Producto como rasgo distintivo, lo cual permitió dejar atrás el estancamiento tendencial del producto propio del periodo 2011-2015.
La infraestructura continuará siendo un factor clave dentro de la inversión, principalmente mediante el desarrollo de las PPP20, que permitirá mejorar la competitividad mediante la baja de costos asociados a la logística al tiempo que simultáneamente incrementar la productividad. La ley de ART, la disminución gradual de impuestos distorsivos y la ley de financiamiento productivo21 fomentará el desarrollo del mercado de capitales y el financiamiento local y permitirá continuar la fuerte expansión del crédito22 que aumentó 21% en términos reales durante 2017.
Si bien shocks transitorios como la sequía (ver Apartado 3. Impacto directo de la sequía) reducen la tasa de crecimiento de la economía esperada para 2018, las proyecciones de crecimiento continúan siendo positivas. Este es el resultado de las reformas implementadas desde fines de 2015, la expansión de la inversión y la mayor demanda externa (particularmente desde Brasil). En línea con estos supuestos, el Relevamiento de Expectativas de Mercado (REM) proyecta una desaceleración para 2018 para luego crecer 3,1% y 3,0% en 2019 y 2020 (ver Gráfico 3.19).
Estas perspectivas contienen implícitamente un quiebre en la tendencia de crecimiento del PIB desde 2016 y la ausencia de presiones inflacionarias desde el punto de vista de la demanda para 2018. El ritmo de crecimiento proyectado por los analistas del REM mantendría al PIB por debajo de su tendencia de mediano plazo durante todo el año (ver Gráfico 3.20).
4. Precios
Desde diciembre del año previo la inflación se aceleró, según el IPC de cobertura nacional, alcanzando un alza promedio de 2,2% en el primer trimestre de 2018. La suba de la inflación respondió al impacto directo e indirecto del aumento de las tarifas de los servicios públicos y, en menor medida, a la depreciación del peso observada entre diciembre de 2017 y febrero de 2018. La inflación núcleo reaccionó relativamente menos a los aumentos de regulados y tipo de cambio que en otros episodios del pasado. El BCRA considera que la mayor inflación es transitoria y que descenderá significativamente en los próximos meses. Las negociaciones salariales se están pactando en torno al 15% y el proceso de ajuste de precios regulados se desacelerará fuertemente a partir de mayo. Las expectativas de inflación del REM para 2018 aumentaron respecto del relevamiento de diciembre. No obstante, se mantienen por debajo de la inflación observada en 2017. Esta revisión al alza respondió principalmente a que la inflación observada durante el primer trimestre fue mayor a la esperada, dado que la previsión implícita para lo que resta del año se mantuvo prácticamente sin cambios. Para 2019 y 2020 también se elevaron las expectativas, aunque siguen indicando una marcada desinflación.
4.1 La aceleración reciente de la inflación es transitoria
Durante el primer trimestre se registró una aceleración transitoria de la inflación. Esta dinámica estuvo vinculada a los ajustes de precios relativos de bienes y servicios regulados y a la depreciación nominal de la moneda doméstica. El IPC de cobertura nacional creció a una tasa promedio mensual de 2,2% en el primer trimestre de 2018. Todos los indicadores de precios al consumidor subnacionales mostraron dinámicas similares (ver Gráfico 4.1).
Los precios de los ítems regulados tuvieron una incidencia preponderante en la inflación en el período. En el primer trimestre de 2018 estos bienes y servicios se ajustaron a una tasa promedio próxima al 3% y al 4,5% si incluimos el dato de diciembre del año pasado (ver Gráfico 4.2). Esta agrupación reflejó las subas de transporte público de pasajeros, tanto en el AMBA como en algunos centros urbanos del interior del país, aumentos en electricidad, gas, cigarrillos, prepagas, educación, telefonía, peajes y combustibles para el automotor.
El ajuste de precios relativos de los regulados, y en particular el de los servicios públicos que registraron alzas muy superiores al nivel general de inflación, también incidió de manera directa e indirecta sobre la inflación núcleo (ver Gráfico 4.3). Así, la inflación núcleo se aceleró 0,6 p.p. respecto del segundo semestre de 2017 (2,1% promedio mensual en el primer trimestre y 2,0% si se adiciona dic-17 al trimestre).
La inflación núcleo se aceleró tanto por los bienes como por los servicios que la componen. El comportamiento de los bienes estaría más asociado a las mayores tasas de depreciación de la moneda doméstica. Adicionalmente contribuyó al aumento de precios de algunos alimentos el impacto de la sequía sobre los precios de las materias primas agropecuarias. En tanto, la aceleración de los servicios privados estaría más vinculada al impacto directo e indirecto de la suba de los servicios públicos23 y a la evolución de los salarios (ver Gráfico 4.4).
Desde diciembre de 2017, la inflación núcleo acumuló una suba de 8,1% (equivalente a una tasa 2% promedio mensual). Este ritmo de suba es similar al registrado en el primer cuatrimestre de 2017. Sin embargo, en esta oportunidad los aumentos de regulados y tipo de cambio fueron significativamente mayores a los observados un año atrás. Así, con la información disponible hasta el momento, la respuesta de la inflación núcleo en esta oportunidad fue menos que proporcional que la observada a inicios del año previo (ver Gráfico 4.5). El traspaso de los recientes aumentos de precios regulados (entre diciembre y marzo) y de la depreciación del tipo de cambio ha sido más acotado en esta ocasión que en períodos anteriores.
La variación interanual del nivel general del IPC se mantuvo relativamente estable en torno al 25% durante el primer trimestre de 2018. Los bienes y servicios regulados crecieron a tasas cercanas al 40%, continuando el proceso de ajuste de precios relativos. La inflación núcleo, luego de un continuo proceso de descenso desde mediados de 2016, mostró una ligera suba hasta ubicarse 22,4% i.a. en marzo (ver Gráfico 4.6).
Los precios mayoristas registraron un alza promedio de 4,7%, ubicándose 3,2 puntos porcentuales por sobre los registros del último trimestre de 2017. Las tasas de variación significativamente superiores a las de los precios al consumidor respondieron básicamente a tres factores. En primer lugar, los aumentos de los precios de los bienes y servicios regulados (principalmente electricidad y gas) tuvieron una incidencia significativa en el aumento de los precios mayoristas. En segundo lugar, algunos precios de productos primarios (petróleo y agropecuarios) también subieron por la suba de sus cotizaciones internacionales. A esto se adicionó la depreciación del peso, cuyo traspaso a los precios mayoristas es mayor que a los precios minoristas debido a la mayor participación de bienes transables en los mercados externos en los índices mayoristas. En el caso de las materias primas y los bienes importados el traspaso es casi proporcional a la variación del tipo de cambio (ver Gráfico 4.7).
En el primer bimestre del año los precios mayoristas de electricidad y gas acumularon subas de 13% y 76%, respectivamente, explicando el 30% de la variación de los precios mayoristas del período. Puntualmente en gas el relevamiento incluye los precios del gas en boca de pozo informados por los productores independientemente de su destino final de consumo. Así, dentro de este conjunto de precios se incluyen los precios de este insumo destinado a pequeñas empresas, comercios y también a consumo residencial. En este último caso incidieron, además de la suba del gas en diciembre, los cambios normativos en la tarifa social24, que recién se vieron reflejados en los precios de comercialización mayorista de febrero.
Las cotizaciones internacionales de las materias primas de origen agropecuario acumularon incrementos en dólares de aproximadamente del 4% en los primeros dos meses del año. En tanto, el petróleo WTI, que es el utilizado como referencia en el relevamiento del IPIM, subió 3% en igual lapso. Estos aumentos se potenciaron por la depreciación de 12% en promedio de la moneda doméstica respecto al dólar estadounidense entre diciembre de 2017 y febrero de 2018. Otros productos cuyos precios se vieron afectados directamente por la dinámica del tipo de cambio fueron los importados, que acumularon en el IPIM un alza de 11,6%. La aceleración mensual de los precios mayoristas en los primeros meses del año impulsó las tasas de variación interanual, que se elevaron hasta valores cercanos a 26% en febrero de 2018.
4.2 Los salarios nominales moderaron su tasa de crecimiento
Los salarios nominales del sector privado formal finalizaron 2017 con una tasa de suba de 23,6% i.a. y 29,7% promedio anual, en línea con nuestras previsiones. En los primeros meses del año la dinámica de los salarios nominales reflejó la entrada en vigor de los últimos tramos de aumento correspondientes a los acuerdos paritarios de algunos gremios y la aplicación de algunas cláusulas gatillo. Las negociaciones paritarias ya cerradas durante 2018, que representan a mitad de los trabajadores bajo convenio, se pactaron en línea con la meta de inflación para el año (15%).
Además de contemplar la inflación futura, los contratos paritarios para 2018 tienen una distribución intra-anual diferente a la del año anterior. En la mayoría de los convenios, los tramos en 2018 tienen una carga descendente durante el año, mientras que en 2017 los tramos tuvieron magnitudes similares. Los menores incrementos nominales acordados junto con los tramos descendentes permitirán acompañar mejor el proceso de desinflación observado desde inicios de 2017 (ver Gráfico 4.8).
4.3 El sendero de desinflación continuaría en 2018
Si bien en los primeros meses del año se observó una aceleración de la inflación, esta dinámica sería sólo transitoria. Diversos factores hacen prever una marcada reducción de la inflación a partir de mayo. La mayor concentración de aumentos de bienes y servicios regulados está en el primer cuatrimestre del año. Para el resto del año se prevén ajustes significativamente menores que los registrados en la primera parte del año en los precios de los servicios públicos. No se prevén depreciaciones significativas del peso debido a los fundamentos macroeconómicos y a la propia acción del Banco Central. La negociación de pautas salariales en línea con la meta de inflación reduciría las presiones de costos de mano de obra sobre los precios. Finalmente, la política monetaria actual es más contractiva que la observada durante la primera mitad del año pasado. De manera consistente, las expectativas de los analistas de mercado tienen incorporada esta dinámica de la inflación y prevén una reducción para los próximos meses. De las previsiones del Nivel General y Núcleo del REM se puede obtener de manera implícita, al considerar que los bienes y servicios estacionales se comportan como la Núcleo, una estimación de la evolución de los ítems Regulados. Según estos cálculos, a partir de mayo se reducirían significativamente las subas de este componente (ver Gráfico 4.9).
Para diciembre de 2018, el REM estima que la inflación se ubicará en 20,3%, 4,5 p.p. por debajo de la inflación de 2017 pero 5,3 p.p. por sobre la meta. Las subas de los pronósticos de inflación del REM desde diciembre respondieron a la incorporación de tasas de inflación mayores a las previstas durante los primeros cuatro meses del año, manteniéndose constante la inflación estimada para lo que resta del año (ver Gráfico 4.10).
Las expectativas de los analistas de mercado anticipan que el proceso de desinflación continuará durante los próximos años, aunque con tasas superiores a las contempladas en las metas de inflación. Las estimaciones para 2019 se ubican en 14,3% i.a. y para 2020 en 10% i.a. En ambos casos estos pronósticos fueron revisados al alza y superan en casi 5 p.p. a la meta fijada (ver Gráfico 4.11).
5. Política monetaria
A partir de diciembre del año pasado comenzaron a observarse mayores tasas mensuales de inflación debido al impacto de aumentos de precios regulados y del incremento de algunos precios de bienes transables, afectados estos últimos por la suba de los precios internacionales del petróleo y de los productos agrícolas y por el alza del tipo de cambio (ver Capítulo 4. Precios).
Considerando que estas presiones sobre el nivel general de precios respondían en mayor medida a factores temporales, que la política monetaria mostraba un sesgo antiinflacionario adecuado y que la misma opera con rezagos, la estrategia del Banco Central consistió en mantener sin cambios la tasa de interés de política (luego de la reducción decidida en enero de este año) a la espera de señales claras de desinflación.
Sin embargo, el cambio de horizonte de las metas de inflación y la baja en la tasa de interés de política en el inicio del año fueron interpretados por el mercado como la antesala de un relajamiento excesivo de la política monetaria. Esto derivó en una dinámica de depreciación del peso que reflejaba una visión del mercado sobre el futuro de la política monetaria que no se correspondía con la visión del Banco Central.
En ese contexto, y de forma complementaria al manejo de la tasa de interés, el Banco Central intervino en el mercado cambiario desde principios de marzo. Una depreciación del peso mayor a la registrada hasta ese momento no estaba justificada por factores económicos reales ni por el curso previsto de su política monetaria y, de no evitarse, podría afectar el proceso de desinflación.
Se espera que la reciente aceleración de precios sea temporaria y que, una vez superados los factores transitorios señalados, la inflación consolide su tendencia a la baja. Esta perspectiva favorable se basa en que: a) la política monetaria muestra un sesgo más contractivo que el observado en la primera parte del año pasado; b) el proceso de ajuste de precios regulados se desacelerará fuertemente después de abril; c) no se prevén depreciaciones significativas del peso debido a los fundamentos macroeconómicos y la propia acción del Banco Central; d) las negociaciones salariales del sector público y privado se están pactando en torno a la pauta del 15%.
Como se mencionó en los recientes comunicados de política monetaria, el Banco Central mantendrá el sesgo de la política monetaria hasta que se confirmen señales de desinflación compatibles con el sendero previsto; y estará listo para actuar en caso de que la trayectoria de la inflación se desvíe del escenario mencionado.
5.1 La política monetaria en el primer trimestre de 2018
5.1.1 Decisiones de tasa de interés: diferimiento de meta y shocks transitorios a la tasa de inflación
Tras el desvío de la meta de inflación observado durante el año pasado, el gobierno anunció a fines de diciembre un diferimiento de la meta de 5% respecto del sendero original: 15% para este año, 10% para 2019 y 5% a partir de 2020 (ver Gráfico 4.11). El sesgo de la política monetaria hasta ese momento era acorde con el objetivo original de alcanzar una inflación de 10% (±2%) durante 2018, por lo que una meta de inflación más elevada (15%) requería una menor tasa de interés de política. Al mismo tiempo, la inflación núcleo había alcanzado un promedio mensual de 1,4% en el último trimestre del año pasado, que en términos anualizados equivalía a 18,5%, el registro más bajo de los últimos seis años. Así, durante enero el Banco Central decidió reducir su tasa de política monetaria en 75 p.p. en dos oportunidades para llevarla de 28,75% anual a fines de diciembre a 27,25% anual a fines de dicho mes. Si bien esto derivó en una reducción de la tasa de interés real, ésta se mantuvo en niveles acordes con el sendero de desinflación pretendido y en valores superiores a los registrados en la primera parte del año pasado (ver Gráfico 5.1).25
Gráfico 5.1 | Sesgo de la política monetaria – Tasa de interés real de referencia (centro del corredor de pases de 7 días)
Por otra parte, a partir de diciembre del año pasado se observaron mayores tasas mensuales de inflación debido al impacto de aumentos de precios regulados (principalmente gas, electricidad y transporte) y del incremento de algunos precios de bienes transables. Estos últimos fueron afectados por la suba de los precios internacionales del petróleo y de los productos agrícolas y por el alza del tipo de cambio registrada en los últimos meses (ver capítulo 4. Precios).
Considerando que las presiones observadas sobre el nivel general de precios respondían en mayor medida a factores temporales, que la política monetaria mostraba un sesgo antiinflacionario adecuado y que la misma opera con rezagos, el Banco Central mantuvo inalterada la tasa de interés de política durante el resto del trimestre a la espera de señales claras de desinflación. El manejo cauteloso de la tasa de interés pretendió evitar la generación de volatilidad innecesaria en las condiciones financieras y el envío de señales confusas a los agentes económicos.
El cambio del horizonte de la meta de inflación y la baja de la tasa de interés de política de enero fueron interpretados por el mercado como la antesala de un relajamiento excesivo de la política monetaria. Esto se reflejó en el sendero de tasas de política previsto en el relevamiento de expectativas de enero, que mostró una baja de las tasas esperadas para todos los plazos relevados con relación a la encuesta de diciembre (ver Gráfico 5.2). Sin embargo, las decisiones de tasa de interés de la autoridad monetaria no convalidaron lo esperado por el mercado; ello contribuyó a elevar el sendero esperado de tasas de política hasta llegar en marzo al mismo que se registraba en diciembre.
Se espera que la reciente aceleración de precios sea temporaria y que, una vez superados los factores transitorios señalados, la inflación consolide su tendencia a la baja. Esta perspectiva favorable se basa en que: a) la política monetaria muestra un sesgo más contractivo que el observado durante la primera parte del año pasado; b) el proceso de ajuste de precios regulados se desacelerará fuertemente después de abril; c) no se prevén depreciaciones significativas del peso debido a los fundamentos macroeconómicos y la propia acción del Banco Central; d) las negociaciones salariales del sector público y privado se están pactando en torno a la pauta del 15%.
Asimismo, un factor relevante para la inflación en una perspectiva de largo plazo es que las transferencias que el Banco Central realiza al Tesoro Nacional continuarán disminuyendo hasta limitarse al crecimiento real de la demanda de dinero a partir de 2020 (ver Gráfico 5.3). El año pasado se transfirieron en concepto de adelantos transitorios y utilidades fondos por $ 150.000 millones (1,5% del PIB), según la ley de Presupuesto este año se transferirán $ 140.000 millones (1,1% del PIB), el próximo año alcanzarán los $ 70.000 millones (0,5% del PIB) y a partir de 2020 se transferirá una cifra equivalente al crecimiento real de la demanda de dinero, lo que será llevado a la práctica mediante una regla de señoreaje basada en multiplicar el crecimiento económico por la base monetaria. De esta manera, suponiendo un stock de base monetaria del 10% del PIB y un crecimiento de la economía de 3%, para 2020 el traspaso de fondos al Tesoro alcanzaría a 0,3% del PIB.
Como se mencionó en los recientes comunicados de política monetaria, el Banco Central no relajará el sesgo de la política monetaria hasta que se confirmen señales de desinflación compatibles con el sendero buscado para lograr el objetivo de inflación de 15% interanual a fin de año, 10% en 2019 y 5% en 2020; y estará listo para actuar en caso de que la trayectoria de la inflación se desvíe del escenario mencionado.
5.1.2 Intervenciones en el mercado cambiario: complemento del manejo de la tasa de política
La baja de 150 puntos básicos en la tasa de interés de política en el inicio del año y el cambio de las metas de inflación fueron interpretados por el mercado como la antesala de un relajamiento excesivo de la política monetaria. Esto derivó en un incremento en las expectativas de inflación (ver Gráfico 4.10) y en una dinámica de depreciación del peso que reflejaba una visión del mercado sobre el futuro de la política monetaria que no se correspondía con la visión del Banco Central.
En ese contexto, y de forma complementaria al manejo de la tasa de interés, el Banco Central intervino en el mercado cambiario desde principios de marzo luego de considerar que una depreciación mayor a la registrada hasta ese momento no estaba justificada por factores económicos reales ni por el curso previsto de su política monetaria y que, de no evitarse, tendría el potencial de afectar el proceso de desinflación. El objetivo de dichas intervenciones fue quebrar las expectativas de depreciación e inflación y señalar que la visión del Banco Central sobre la política monetaria futura difería de la del mercado. Así, entre el 5 de marzo y el 10 de abril la autoridad monetaria vendió reservas internacionales en 16 oportunidades por un monto global de US$ 2.427 millones (promedio de US$ 152 millones por intervención), lo que representó un 3,9% de las reservas internacionales (ver Gráfico 5.4).
Luego de haber subido 18% entre mediados de diciembre del año pasado y principios de marzo de este año, el tipo de cambio con relación al dólar frenó su tendencia alcista. Esta suba del valor de la divisa norteamericana no difirió sustancialmente de la observada entre mayo y agosto del año pasado ante el episodio de incertidumbre política en Brasil y posteriores dudas por el resultado de las elecciones primarias en Argentina, cuando el tipo de cambio se había incrementado 15% y el Banco Central había vendido divisas por US$ 1.837 millones en el mercado cambiario, también con el objetivo de evitar una volatilidad excesiva en el tipo de cambio (ver Gráfico 5.5).
El incremento en el valor nominal del tipo de cambio se reflejó en una suba del tipo de cambio real multilateral, similar a la registrada en el episodio alcista del año pasado. Así, a principios de abril de este año, el tipo de cambio real se ubicó 27% por encima del nivel previo a la unificación cambiaria de diciembre de 2015 y 4% por encima del promedio observado desde junio de 2016 (ver Gráfico 5.6).
Las operaciones del BCRA en el mercado cambiario son consistentes con el régimen de tipo de cambio flexible vigente desde principios de 2016 y complementarias al manejo de la tasa de interés como principal instrumento de política monetaria para alcanzar una tasa de inflación baja y estable. Así, la participación ocasional en el mercado cambiario por parte del Banco Central se justifica ante dinámicas disruptivas capaces de alterar la marcha de la inflación o de generar efectos negativos en las condiciones financieras, y es habitual en los regímenes de metas de inflación en países emergentes (ver Apartado 4 / La intervención cambiaria en regímenes de metas de inflación).
5.1.3 Continúa la política de acumulación de reservas internacionales
Las reservas internacionales crecieron US$ 6.714 millones desde fines del año pasado, hasta alcanzar US$ 61.769 millones a principios de abril, lo que representa un 10% del PIB (ver Gráfico 5.7). A pesar de las intervenciones vendedoras en el mercado cambiario, el stock de reservas internacionales se incrementó debido a la compra de US$ 8.000 millones en forma directa al Tesoro Nacional en los primeros dos meses del año.
En este marco de política monetaria, en el que el Banco Central fija la tasa de interés de corto plazo, los aumentos en la base monetaria derivados de la compra de activos externos son esterilizados automáticamente. Un exceso de oferta de dinero que coloque a la tasa de interés debajo de su nivel deseado se absorbe automáticamente mediante una venta de letras o con operaciones de pases pasivos. Como resultado, al mismo tiempo que se incrementan los activos externos, aumentan los pasivos no monetarios del Banco Central (LEBAC, LELIQ y pases netos). En este sentido, si bien el stock de letras y pases netos en términos del PIB pasó de 7,5% a 12,8% entre principios de marzo de 2016 y fines de marzo de este año, cuando se descuentan las divisas adquiridas en dicho período, el stock de pasivos no monetarios mostró una caída de 1,4 puntos porcentuales del PIB (ver Gráfico 5.8).
5.2 Mecanismo de transmisión a las tasas de interés de mercado
5.2.1 Tasas de interés del mercado monetario
Las tasas de interés del mercado monetario siguieron el descenso de la tasa de política monetaria de principios de año y se mantuvieron acotadas dentro del corredor de pases a lo largo del trimestre. Así, la tasa de pases entre terceros a 1 día cayó 2,7 p.p. entre diciembre del año pasado y marzo de este año hasta un promedio mensual de 25,0% anual, en tanto la tasa de call interbancario a 1 día bajó 2,3 p.p. en el mismo lapso hasta alcanzar 26,5% anual (ver Gráfico 5.9).
La tasa de interés de los pases pasivos actúa como un piso para las tasas de interés del mercado monetario. Cuando la tasa de mercado es presionada para ubicarse debajo del piso, los agentes pueden colocar su exceso de fondos realizando pases pasivos con el Banco Central o comprándole Letras de Liquidez (LELIQ). Por otra parte, la tasa de interés de los pases activos funciona como un techo para las tasas a las que se financian los bancos, es decir, cuando la tasa de mercado enfrenta presión para colocarse por encima del techo, las entidades financieras pueden cubrir su faltante de fondos con préstamos del Banco Central mediante pases activos. Las LELIQ fueron lanzadas por el Banco Central a principios de enero de este año. Son títulos cupón cero con un plazo de 7 días que pueden ser adquiridos sólo por entidades financieras y que pueden ser negociados en el mercado secundario, lo que los vuelve más líquidos que los pases. Hasta el momento estas letras han sido colocadas a la tasa de pases pasivos de 7 días. Desde su lanzamiento fueron ganando participación en las tenencias de liquidez de los bancos frente a los pases pasivos. Mientras que el stock de pases netos (pasivos menos activos) cayó desde $ 100.175 millones a fines de diciembre del año pasado a $ 38.161 millones a fines de marzo, las tenencias de LELIQ alcanzaron los $ 142.524 millones en el mismo lapso (ver Gráfico 5.10).
En el primer trimestre del año el Banco Central continuó afectando las condiciones de liquidez del mercado secundario de LEBAC mediante operaciones de mercado abierto. Así, la autoridad monetaria realizó ventas de títulos por VN $ 334,924 millones, las cuales representaron el 18,1% del total de operaciones cursadas en el mercado secundario de LEBAC, una participación levemente superior al 14,5% registrado en el último trimestre del año pasado (ver Gráfico 5.11). A diferencia de lo ocurrido en la segunda parte del año pasado, cuando las operaciones de papeles con valores residuales menores a los 90 días representaron un 45% del monto operado, en el primer trimestre del año concentraron un 87% de la operatoria, principalmente en los plazos hasta 30 días (24%) y entre 31 y 60 días (44%).
Gráfico 5.11 | Intervenciones del BCRA en el mercado de LEBAC (participación % en el total del volumen operado)
En el inicio del año, las tasas de las LEBAC en el mercado secundario se acomodaron a las nuevas condiciones monetarias, mostrando una caída de entre 2 y 3 p.p., según el plazo, desde los niveles máximos de fines de diciembre del año pasado. Luego de esta baja inicial, la curva de rendimientos sólo mostró un cambio de pendiente en comparación con la de fines de enero, con una leve reducción de los rendimientos de los títulos más cortos y un leve incremento de los más largos (ver Gráfico 5.12).
5.2.2 Tasas de interés de depósitos y préstamos
En el primer trimestre del año los préstamos bancarios al sector privado en pesos continuaron creciendo, aunque a un menor ritmo en comparación al observado en el segundo semestre de 2017, con una variación real mensual sin estacionalidad de 1,3%, y alcanzando una expansión de 21,1% real interanual en marzo (un aumento de 27,9% real interanual si se consideran, además, los préstamos en moneda extranjera) (ver Gráfico 5.13). Si bien se observaron incrementos en la mayor parte de las líneas, los mayores aumentos del trimestre se registraron en el crédito hipotecario, dentro del que se destacaron los préstamos en UVA, en personales y en adelantos en cuentas corrientes. A pesar de esta dinámica, el stock de préstamos al sector privado en términos del PIB aún se encuentra en niveles bajos tanto en términos históricos como en relación a otras economías emergentes (marzo: 11,1% del PIB para el financiamiento en pesos y 13,8% del PIB cuando se consideran además los préstamos en moneda extranjera – datos sin estacionalidad).
En lo que respecta a la principal fuente de fondeo de los bancos, en el primer trimestre del año se aceleró el crecimiento de los depósitos en pesos con relación a lo observado en 2017, que aumentaron a un ritmo de 3,4% mensual real, marcando una expansión interanual de 11,8% real en marzo. Las colocaciones a plazo mostraron un mejor desempeño frente a los depósitos a la vista (depósitos en cuenta corriente y de caja de ahorro) en los primeros meses del año. En particular, se destacó la evolución de los depósitos a plazo fijo del sector público, que crecieron a un ritmo de 30,6% real mensual durante el trimestre, debido a la colocación de fondos del Tesoro Nacional provenientes de la venta de las divisas obtenidas del endeudamiento externo (ver Sección 5.1.3). Los depósitos a plazo fijo del sector privado también se incrementaron en el trimestre, pero a un menor ritmo (1,9% real mensual), impulsados por factores estacionales y por el cambio normativo que impidió a las compañías de seguros renovar sus tenencias de LEBAC.26
Gráfico 5.14 | Evolución de préstamos al sector privado y depósitos totales en pesos (crecimiento nominal mensual promedio)
A diferencia de lo ocurrido durante la mayor parte del año pasado, y a pesar de la expansión de los préstamos, el fondeo de los bancos se incrementó en mayor medida en los primeros tres meses del año, particularmente en enero y febrero, lo que se reflejó en un aumento de la liquidez bancaria (ver Gráfico 5.14). Así, el ratio de liquidez amplia (depósitos en cuenta corriente en el BCRA, efectivo, pases netos, LELIQ y LEBAC) en relación a los depósitos totales pasó de 39,7% en diciembre del año pasado a 42,7% en marzo (ver Gráfico 5.15). Este incremento de los activos líquidos de las entidades financieras se concentró en la banca pública debido al aumento de los depósitos del sector público que estas entidades terminaron colocando principalmente en LELIQ (su ratio de liquidez aumentó de 35,8% a 41,8% en el período). Por su parte, el ratio de liquidez de las entidades privadas también subió, pero en menor medida (de 43,2% a 43,7%).
En este contexto, las tasas de interés pasivas dejaron de subir a principios de año para mantenerse estables o mostrar una leve baja a lo largo del primer trimestre. Mientras que la tasa de los plazos fijos minoristas se mantuvo estable en torno a 20,7% anual, la TM20 bancos privados y la BADLAR bancos privados cayeron 0,7 p.p. y 0,4 p.p. hasta alcanzar en marzo un promedio mensual de 23,3% y 22,8%, respectivamente (ver Gráfico 5.16) 27. Las tasas de interés de los depósitos ajustados por UVA también se redujeron en los primeros tres meses del año, con una caída del promedio mensual de 5,1% anual en diciembre del año pasado a 4,4% anual en marzo de este año.
De esta manera, el spread de la tasa BADLAR (corregida por encajes) contra la LEBAC más corta se redujo cerca de tres puntos porcentuales respecto de los valores registrados durante la mayor parte del año pasado, ubicándose en torno a cero. Esta reducción del spread estaría indicando que las tasas pasivas del sistema serían más sensibles a las condiciones de liquidez, al necesitar los bancos reaccionar de manera más decidida para captar fondos de los ahorristas cuando necesitan abastecer el crecimiento de la demanda de préstamos. Se espera que a medida que se vaya profundizando la intermediación financiera, la transmisión de la tasa de política monetaria al resto de las tasas del sistema siga fortaleciéndose.
Por su parte, las tasas de interés activas mostraron un comportamiento mixto en los primeros tres meses del año. En el caso de las tasas de interés asociadas a los préstamos en pesos a empresas, mientras que las de adelanto en cuenta corriente cayeron 1,1 p.p. en el primer trimestre del año (hasta alcanzar 33,0% anual promedio en marzo), las de documentos descontados y a sola firma subieron 0,8 p.p. y 1,0 p.p. (hasta alcanzar 25,0% y 26,3% anual, respectivamente). En lo que respecta a los préstamos en pesos asociados al consumo de las familias, las tasas de interés se incrementaron 0,3 p.p. en el caso de los préstamos personales y 2,8 p.p. en el de tarjetas de crédito en el mismo lapso (hasta 40,2% anual y 45,0% anual en marzo, respectivamente). Finalmente, el costo de los préstamos prendarios continuó bajando en el primer trimestre del año, con un retroceso de 1,5 p.p. hasta alcanzar 15,9% anual en marzo (ver Gráfico 5.17). Las tasas de los préstamos ajustados por UVA también mostraron comportamientos heterogéneos, con el costo de los créditos hipotecarios prácticamente sin cambios entre diciembre del año pasado y marzo de este año (en torno a 4,8% anual) y los préstamos personales subiendo 0,6 p.p. hasta alcanzar 10,5% anual en marzo, respectivamente.
Apartado 1 / Complementariedades de la economía argentina con Brasil
La recuperación de la economía brasileña ya se reflejó en diversos indicadores de 2017 y en los números que se proyectan para fines del corriente año: consumo privado (+2,9%), inversiones (+4,9%) y producto (+2,8%). Dada la importancia que tiene la economía de Brasil para el Mercosur en general y para Argentina en particular, resulta interesante analizar cómo y mediante qué canales la reactivación económica de nuestro socio comercial impacta en nuestra economía y como se relacionan económicamente ambos países. Un análisis preliminar nos permite observar la fuerte correlación que existe entre ambas economías (80% para el período 2004-2017) y como la instauración del cepo incluso tornó en negativa, tendiendo a normalizarse desde fines de 2015 hasta la actualidad.
Cuando se analiza el comercio bilateral con Brasil el análisis suele centrarse (casi) exclusivamente en el sector automotriz por lo cual se deja de lado otros sectores que resultan importantes y relevantes dentro de la composición de las Manufacturas de Origen Industrial (MOI) que exporta Argentina y se encuentran integradas desde el punto de vista productivo con Brasil.
Argentina exporta a Brasil un abanico de bienes que no se agota claramente en el sector automotriz, el 62% de las exportaciones argentinas a Brasil se vinculan directamente con la actividad productiva de ese país. El principal rubro resulta bienes intermedios (ver Gráfico 2) entre los que se encuentran materiales eléctricos, polímeros de plástico y distintas materias primas agrícolas para ser procesadas en Brasil. En particular, existe cierta complementariedad entre la industria de alimentos y bebidas de Brasil y la agricultura en Argentina. Por lo tanto, es factible suponer que un incremento de la industria brasileña implica una mayor demanda de insumos utilizados como bienes intermedios que impactaría entonces en un incremento en la demanda de exportaciones de Argentina.
Como puede observarse en los dos gráficos siguientes (ver Gráfico 3.A y 3.B), desde el año 2013 la participación de Brasil en las exportaciones argentinas disminuyó drásticamente en todos los sectores a excepción de plásticos. En algunos casos como el sector automotriz existieron cambios regulatorios en ambos países que convergieron a un mismo resultado (la instauración de restricciones cambiarias en argentina y el plan innovar autos en Brasil) que desembocó en una fuerte disminución de la participación de Brasil en las exportaciones totales de Argentina.
Actualmente la caída del programa Innovar Auto, una caída sustancial en el impuesto federal sobre la comercialización de autos en Brasil (IPI28) y adicionalmente el régimen de comercio administrado vigente entre las dos economías29 augura un fuerte incremento de las exportaciones argentinas que tienen como destino a ese país durante 2018 (diferentes estimaciones la ubican en un rango entre 13% y 20%).
Como conclusión podemos prever que la mejora de la economía brasileña que arrancó a comienzos de 2017 y se consolidó a fines del año pasado, las reformas llevadas adelante en ambos países y la reconfiguración de la relación comercial entre ambos países, augura un incremento en las exportaciones argentinas hacia ese destino, las cuales tendrán un impacto positivo que se extenderá a lo largo de los próximos trimestres (para un análisis detallado véase el IPOM de enero 2017, Apartado 4 / Sobre las exportaciones a Brasil y su efecto en Argentina).
Apartado 2 / Evaluación del desempeño de la Predicción Contemporánea del Producto del BCRA
Evaluar el desempeño predictivo de un modelo es una de las tareas más importantes en el proceso de generación de pronósticos. Desde hace varios años, el Banco Central ha venido realizando un seguimiento de la actividad en tiempo real a través de su Nowcast30 o Predicción Contemporánea de Producto (PCP-BCRA). En el presente recuadro hacemos una evaluación de dicha predicción para el año 2017 tomando 2 dimensiones:
• Capacidad de anticipación, en comparación con otros indicadores disponibles en la frecuencia mensual.
• Desempeño predictivo relativo en términos de una función de pérdida usualmente utilizada por la literatura de pronóstico, el error cuadrático medio (RMSE). En particular nos centramos en compararla con el relevamiento de expectativas de mercado.
Anticipación temporal
La toma de decisiones de política requiere un seguimiento de la actividad agregada en tiempo real. La principal fuente de información, cuentas nacionales, tiene frecuencia trimestral y se publica con un retraso de aproximadamente diez semanas después de finalizado el trimestre. Por ende, contar con información temprana sobre la marcha de la economía es un insumo fundamental para la política monetaria. El Gráfico 1 ilustra la capacidad de anticipación del PCP-BCRA para el cuarto trimestre de 2017. Cotejamos los pronósticos contra el Estimador Mensual de Actividad Económica (EMAE) de INDEC y el Índice General de Actividad de Orlando J. Ferreres y asociados (IGA OJF).
A través del PCP-BCRA es posible obtener una estimación a 15 días de concluido el primer mes dentro de un trimestre. Luego, siguiendo el cronograma de actualización de las series que forman parte de dicho modelo, es posible obtener 6 estimaciones tempranas de actividad para cada trimestre. Cabe destacar, que el EMAE recién brinda información parcial sobre la evolución de la actividad en el trimestre, en el último mes del mismo (en el caso del cuarto trimestre, brinda información de octubre en el mes de diciembre).
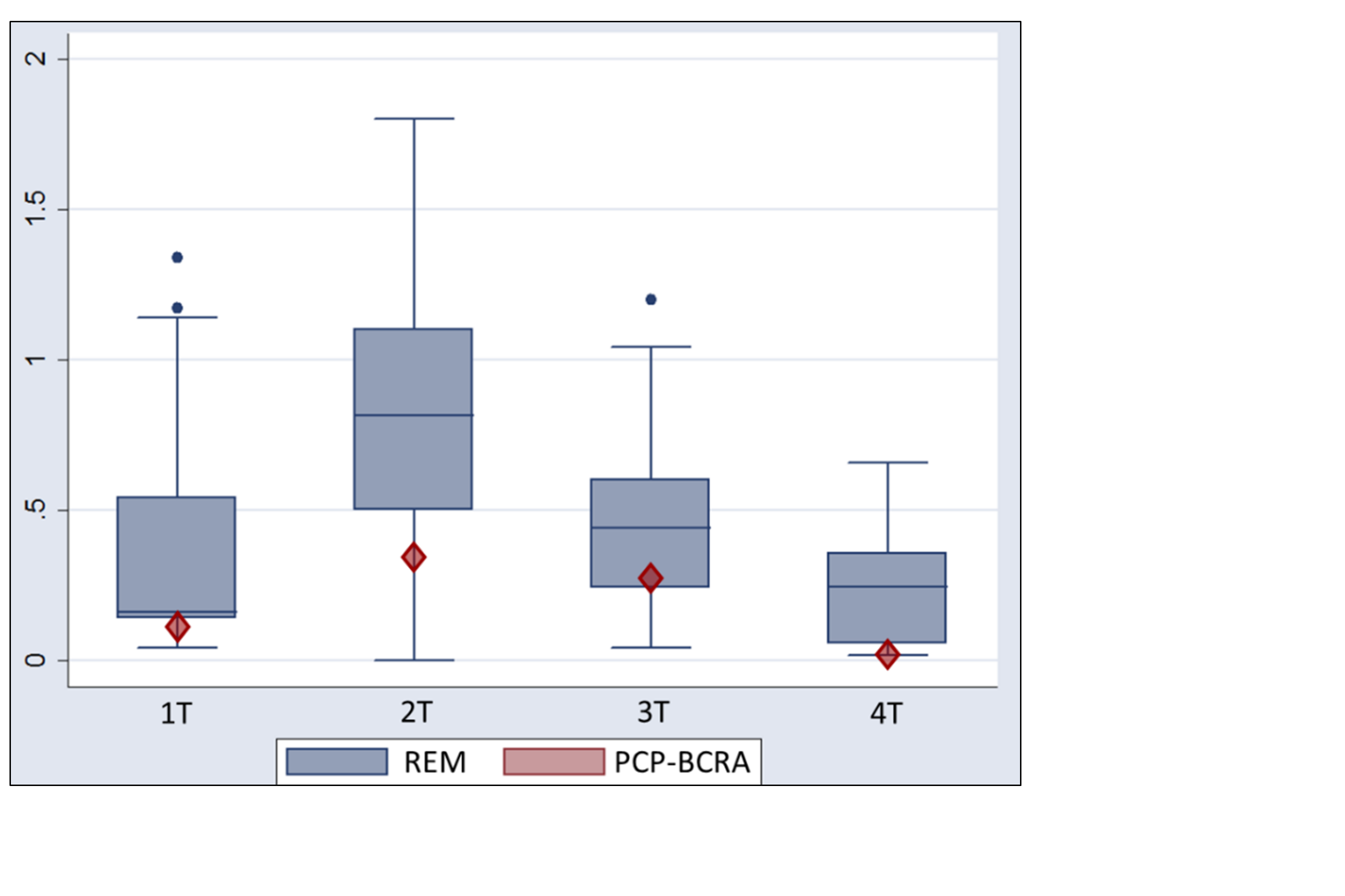
Desempeño de la Capacidad Predictiva
Evaluamos en términos de su error de pronóstico relativo el desempeño del PCP-BCRA. En este caso, comparamos las estimaciones con las del Relevamiento de Expectativas de Mercado31. El Gráfico 2 presenta los diagramas de caja de la distribución de errores de pronóstico del REM a lo largo de los distintos trimestres del año. También se incluye el error de pronóstico de la última estimación del PCP-BCRA disponible para cada período.
El diagrama de caja resume la información más relevante acerca de la distribución de una variable —los RMSE de los pronósticos del REM en este caso—. En el gráfico, la caja “contiene” el 50% de los valores centrales de la distribución de los RMSE de las predicciones del REM durante 2017. Cuán compacta es la caja depende de cuán concentrados estén los valores de los RMSE en torno a la mediana (la línea que se observa al interior de la caja). Las observaciones (los puntos) más allá de las líneas que se extienden verticalmente hacia arriba de la caja son consideradas valores atípicos.
El hecho destacable es que en todos los trimestres de 2017, el RMSE del PCP-BCRA se encuentra por debajo de la mediana de los RMSE del REM. Más aún, en tres de los cuatro trimestres, el RMSE del PCP-BCRA se ubica por fuera y por debajo de la caja que representa el 50% central de la distribución de los RMSE del REM —en el restante se sitúa en el límite inferior de la caja—. Por último y a modo de resumen, el Cuadro 1 a continuación presenta la actualización de las estimaciones de crecimiento de la actividad, según diversas fuentes consideradas.
Tal como puede apreciarse, las predicciones del Nowcast no sólo están disponibles de manera anticipada al resto de las estimaciones —tanto de fuentes públicas como privadas— sino que en términos generales también logran superarlas en capacidad predictiva, incluso al estimador de alta frecuencia (EMAE) publicado por el Instituto Nacional de Censos y Estadísticas.
Apartado 3 / El impacto directo de la sequía
Las condiciones climáticas adversas32 que afectan a las principales zonas agrícolas del país permiten prever una fuerte caída de la producción de granos en 2018, particularmente de soja y maíz en la zona núcleo. Si bien la sequía actual es más intensa que las dos anteriores (2008/09 y 2011/12), existen diversos amortiguadores que atenuarían su impacto macroeconómico33.
El primer factor es el que permite que los rindes esperados para la campaña actual sean superiores a los obtenidos en los ciclos anteriores que tuvieron déficit hídrico. Las proyecciones de los rindes para la finalización de las tareas de cosecha 2017/18 se ubican en torno a 24 quintales por hectárea (qq/ha) para la soja y 65 qq/ha para el maíz, que implican caídas interanuales en la producción de 31% y 14% respectivamente (ver Gráfico 1).
Las mejoras en la productividad (rindes) por hectárea responden fundamentalmente a:
1. La presencia de napas de agua a baja profundidad en zonas que habían sufrido inundaciones: en algunas áreas la disponibilidad de napas freáticas disminuyó significativamente los efectos adversos del déficit hídrico. Los primeros resultados34 de la cosecha gruesa en la región núcleo arrojan una altísima disparidad de situaciones, con rindes que van desde 10 a 50 qq/ha para la soja y desde 60 a 100 qq/ha para el maíz dependiendo de la influencia de la napa.
2. Un avance en la adopción de tecnologías de manejo de cultivos35 y de uso de semillas más defensivas y con mayor amplitud de fechas de siembra, que permitieron una implantación más uniforme, con mayor incidencia de los cultivos tardíos y menos depresivas de rendimiento ante eventos de sequía para las distintas zonas; reflejando un proceso de aprendizaje luego de los resultados adversos de las últimas dos grandes sequías.
Para la campaña actual se estiman pérdidas alrededor de 17 millones de toneladas de soja respecto a la campaña anterior y de 7 millones de toneladas de maíz (ver Cuadro 1).
El segundo factor que amortiguaría el impacto de la sequía es el incremento de las cotizaciones de los granos. En esta oportunidad, la caída de la producción prevista impactó significativamente en los precios internacionales. En el caso de la soja, los precios del poroto en Chicago se ubicaron en marzo de 2018 un 3% por encima de igual mes un año atrás, mientras que en 2009 para la misma fecha estaban 30% i.a. abajo, en el marco de la crisis internacional (ver Gráfico 2).
El alza de los precios de la soja, el maíz y sus derivados, compensaría parcialmente el impacto macro que genera la caída proyectada de las cantidades36. El efecto neto es negativo en US$3.044 millones (ver Gráfico 3) y representaría alrededor de 0,5% del PIB37. Este resultado es sensible a los precios que efectivamente se transen en el mercado38.
Otro factor adicional que posibilitaría atenuar el impacto macro negativo sería la utilización de los stocks récord de soja y maíz. El efecto riqueza de los tenedores por la valorización de dichas existencias es positivo entre US$1.000 y US$1.500 millones. La liquidación de dichas tenencias depende de varios factores. Los stocks, en particular de soja, continúan siendo un refugio de valor, no sólo por los cambios en los precios de los cultivos sino también por el sendero de disminución previsto en los derechos de exportación de la soja para 2018-201939.
Por último, es importante considerar que estas pérdidas en los ingresos no afectan en forma homogénea a todos los actores involucrados según el lugar que ocupen en la cadena: productores y regiones afectados por la sequía, arrendatarios con alquileres fijos o propietarios, pequeños o grandes, productores o exportadores, transportistas, grado de integración productiva, etc. Además, el resultado macroeconómico total es más negativo si incluimos el efecto indirecto sobre el resto del entramado productivo, los denominados efectos de segunda y tercera ronda vinculados a la evolución de la actividad comercial en las zonas afectadas, la inversión en maquinaria agrícola y otros bienes de capital, la planificación de la próxima campaña, etc.
Apartado 4 / La intervención cambiaria en regímenes de metas de inflación
El régimen de metas de inflación es un marco de política monetaria en el cual se anuncia al público una meta de inflación de mediano plazo y en el que el banco central usa las herramientas a su disposición para que la inflación se acerque lo más posible a esa meta. Típicamente, el principal instrumento de la política monetaria en este régimen es la tasa de interés ya que la misma está inversamente correlacionada con la tasa de inflación. La intervención cambiaria en estos regímenes complementa la política de tasa de interés cuando hay movimientos disruptivos del tipo de cambio. Este apartado repasa la experiencia internacional de intervenciones cambiarias en el marco del régimen de metas de inflación.
Un 20% de los países que tienen metas de inflación lo hacen con un régimen cambiario de facto distinto de la flotación pura (ver Gráfico 1; datos al año 2013, último disponible para la clasificación de regímenes cambiarios de Levy Yeyati y Sturzenegger, 201640). Esto ha ido cambiando a lo largo del tiempo, pero hay otro dato revelador: ninguno de los 28 países que han implementado metas de inflación desde 1991 ha tenido siempre un tipo de cambio perfectamente flotante (ver Gráfico 2).
El gráfico 1 también destaca que los períodos en que la mayoría de los países con metas de inflación se alejaron de la flotación pura coincidieron con eventos de volatilidad excesiva, no relacionada directamente con los fundamentos de sus economías: la crisis asiática de 1996-97 y el inicio de la crisis financiera internacional en 2008. Latinoamérica no ha sido la excepción41: Chile adoptó la flotación pura del tipo de cambio en 1999, dejando abierta la posibilidad de intervenir ocasionalmente, como hizo en 2008 (cuando anunció la decisión de aumentar sus reservas internacionales por casi la mitad del stock que poseía) y en 2011. Frente al episodio del “taper tantrum” (cuando el mercado reaccionó fuertemente ante el posible retiro del estímulo monetario por la Reserva Federal), el Banco Central de Brasil implementó intervenciones a través subastas diarias de hasta 3 mil millones de dólares por semana desde agosto de 2013, centradas en operaciones pre-anunciadas de swaps y pases. En 2015, al depreciarse abruptamente el tipo de cambio tras la caída de los precios del petróleo, Colombia definió una regla que especificaba que cuando la volatilidad diaria del tipo de cambio excediera cierto umbral, el banco central intervendría; el programa cesó al año siguiente. En México, el banco central ha intervenido en diversas ocasiones; en 2017, y frente a la incertidumbre asociada a la renegociación del tratado de libre comercio de Norteamérica (NAFTA), se puso en marcha un programa de subastas de futuros por hasta 20 mil millones de dólares. En Perú, economía con un alto grado de dolarización financiera, el banco central ha intervenido desde la puesta en marcha de metas de inflación. Estos son solo algunos ejemplos de países latinoamericanos con metas de inflación que han intervenido frente a una volatilidad cambiaria perjudicial para sus objetivos; la Tabla 1 detalla el monto de esas operaciones en años recientes.
Gráfico 2 | Países con metas de inflación (1991-2013): Años con régimen cambiario distinto de flotación pura (en % de años con metas)
Las razones de la intervención cambiaria en países con metas de inflación tienen que ver con: estabilidad de precios; estabilidad financiera y acumulación de reservas internacionales. El traslado a precios locales de las variaciones del tipo de cambio ha descendido en Latinoamérica en las últimas décadas, asociado a la mayor credibilidad de la política monetaria; pero ésta y otras regiones emergentes aún muestran mayores coeficientes de traspaso que los países avanzados. En economías con desempeños inflacionarios históricamente volátiles, o expuestas a shocks externos, la intervención cambiaria contribuye a disminuir las repercusiones sobre precios de la depreciación cambiaria.
La presencia de activos o pasivos dolarizados en el sector bancario puede exacerbar de manera nociva los movimientos en el tipo de cambio nominal. Y hay múltiples episodios en que la falta de liquidez externa estuvo asociada a crisis financieras de gran magnitud, con repercusiones sobre la actividad económica. En estrecha relación con esto, los bancos centrales intervienen para acumular reservas internacionales: entre 2010 y 2015, por ejemplo, Brasil, Colombia, Chile, México y Perú acumularon reservas por cifras que oscilan entre 2 y 7 puntos del Producto.
Aunque se trata de una cuestión altamente dependiente de las circunstancias específicas de cada país, la experiencia internacional muestra que la intervención cambiaria puede ser un complemento útil de la tasa de interés para alcanzar los objetivos de inflación42. El tipo de cambio flotante actúa eficazmente para que la economía absorba shocks externos desfavorables; pero nada impide que su volatilidad excesiva pueda ser moderada por el banco central, en tanto aquella vaya en detrimento de la estabilidad monetaria y financiera.
Apartado 5 / Efectos de las transferencias del BCRA al Tesoro Nacional en el esquema de metas de inflación
El Banco Central utiliza la tasa de interés de referencia como instrumento para alcanzar la meta de inflación. Al fijar la tasa de interés de referencia, si se expande o contrae la cantidad de dinero sin que dicha variación responda a un cambio en la demanda de dinero, la liquidez adicional o faltante será absorbida o provista principalmente a través de operaciones de pases (también se realizan operaciones de mercado abierto y licitaciones de LEBAC). Esto implica que, en el caso de expansiones (contracciones) que pudieran estimular una reducción (aumento) de la tasa de interés de referencia, el Banco Central incrementa (reduce) sus pasivos no monetarios para esterilizar dicha expansión y mantener la tasa de interés en el nivel acorde con la meta de inflación.
En este apartado se estudia el posible impacto de las expansiones generadas por las transferencias del Banco Central al Tesoro por compras de reservas, adelantos transitorios y transferencia de utilidades. En el caso de su efecto sobre la base monetaria, el análisis de los eventos muestra una absorción de la expansión monetaria mediante esterilización vía pasivos no monetarios del BCRA en un horizonte promedio de dos días.43 Pero ¿qué ocurre con los agregados monetarios más amplios, ya que las transferencias al Tesoro se depositan inicialmente en una cuenta del Tesoro en el Banco Nación? ¿Se genera una expansión permanente de estos agregados que pudiera derivar en una mayor tasa de inflación?
Una primera respuesta surge de analizar el comportamiento de los multiplicadores monetarios. Si las transferencias al Tesoro tuvieran un efecto transitorio sobre la base monetaria pero permanente sobre los agregados monetarios más amplios, deberían observarse aumentos sistemáticos de los respectivos multiplicadores monetarios. Sin embargo, puede verse en el Gráfico 1 que los multiplicadores se mantuvieron estables en los últimos años. Los principales movimientos observados a mediados de 2016 y a principios de 2017 están asociados a cambios en la política de encajes.
Otro enfoque para analizar una eventual conexión entre las expansiones por transferencias al Tesoro e inflación se basa en que si las expansiones generadas por la compra de divisas y transferencias al Tesoro tuvieran un efecto en los agregados monetarios (más allá de la base monetaria) deberían observarse caídas significativas de la tasa de interés y/o subas significativas del tipo de cambio en el entorno de dichos eventos como señales de excesos de oferta de dinero. Para ello, se procedió a: I) identificar eventos de transferencias expansivas del BCRA al Tesoro; II) computar cuánto variaron el tipo de cambio y las tasas de interés alrededor de esas fechas; III) comparar esas variaciones con períodos en que las transferencias no ocurrieron.
I) El primer paso es definir el momento y la magnitud de las transferencias que el Banco Central hace al Tesoro. En general, el BCRA transfiere fondos en pesos al Tesoro Nacional a través de adelantos transitorios, transferencias de utilidades o compra de moneda extranjera, los cuales se acreditan en alguna de las cuentas que tiene en el Banco Nación. Si bien los efectos contables inmediatos consisten en una expansión monetaria, el Tesoro puede demorar algún tiempo en disponer de dichos recursos. Por ello, se definieron como eventos expansivos aquellos movimientos de estas cuentas que pudieran asociarse al uso de dichos fondos, lo que llevó a identificar 69 eventos expansivos en el período entre mediados de diciembre de 2015 y fines de noviembre de 2017.
II) Luego se calcularon los cambios en las tasas de interés y el tipo de cambio en distintos horizontes (7, 15 y 30 días) posteriores a cada evento expansivo. Además, con el fin de considerar posibles anticipaciones del mercado a las operaciones del BCRA con el Tesoro se consideraron las variaciones observadas de 7, 15 y 30 días antes de cada evento.
III) Finalmente, se compararon los resultados de estos eventos con lo observado durante todos los días del período marzo de 2016 a febrero 2018, durante aquellos días en los que la base monetaria se expandió y en los eventos de compra de reservas y transferencias al Tesoro sin corregir por el criterio mencionado en el párrafo previo (es decir, cuando se realiza la transferencia).
Las Tablas 1 y 2 muestran los resultados del ejercicio: la evolución promedio de las variables en cuestión para los horizontes posteriores a los eventos y las variaciones de las mismas variables en los días previos a los eventos, respectivamente. Si bien se observa una caída de la tasa de interés y un aumento del tipo de cambio en todos los horizontes (lo que sería acorde con la hipótesis de exceso de oferta), las magnitudes no son significativamente distintas de las registradas en cualquier otro día del período o en los días en los que la base se expandió (se realizó un test de igualdad de medias). Es más, para el subperíodo 2017-18 se observa un aumento de la tasa BADLAR (en un contexto en el que subía la tasa de interés de política) y subas más pequeñas del tipo de cambio que para el promedio de todo el período.
En el caso de las variaciones de la tasa de interés y el tipo de cambio en los días previos a los eventos, tampoco se observan movimientos de las variables en cuestión significativamente diferentes de lo que ocurre cualquier día o los días en los que la base se expandió. Las magnitudes de los cambios en estos casos son bastante menores que las observadas para los efectos en días posteriores (incluso con el signo contrario al esperado en algunos casos), lo que podría sugerir que el mercado no anticipa con gran efectividad estas operaciones del BCRA.
Tabla 1 | Evolución de la tasa de interés y el tipo de cambio en los días posteriores a los eventos expansivos
Tabla 2 | Evolución de la tasa de interés y el tipo de cambio en los días previos a los eventos expansivos
De estos resultados puede inferirse, entonces, que en un esquema en el que la autoridad monetaria controla la tasa de interés una expansión monetaria debida a la compra de divisas o transferencias al Tesoro no parece generar un efecto de exceso de oferta de dinero que baje las tasas de interés y suba el tipo de cambio y que, por ende, repercuta posteriormente en un aumento de la tasa de inflación.
Referencias
1 Debe recordarse que en la reunión de octubre de 2017 el BCE había decidido reducir a la mitad su programa de compra de activos desde enero de 2018.
2 Véase también Robert Hall y Francesco Caselli (2016), documento de la Fed publicado en su sitio web Understanding the Stagnation of Modern Economies, Economica Public Lecture, London School of Economics.
3El rendimiento del bono estadounidense a 10 años se elevó 40 p.b. entre fines de diciembre 2017 y fines de marzo de 2018, al tiempo que la tasa LIBOR en dólares a 3 meses aumentó cerca de 60 p.b.
4 De acuerdo al Índice de Precios de las Materias Primas (IPMP) publicado diariamente por el BCRA, que refleja la evolución de las principales materias primas de exportación de Argentina.
5 Como respuesta a una medida similar de los Estados Unidos respecto del acero, y otros bienes.
6 Grant W. Gardner y Kent P. Kimbrough, The Economics of Country-Specific Tariffs, International Economic Review, Vol. 31, N°. 3, Agosto de 1990.
7 Depende de las elasticidades de oferta y demanda.
8 Una caída en los términos de intercambio tiene un impacto desfavorable en la balanza comercial argentina, y un aumento tiene un impacto favorable.
9 La finalidad de este indicador es anticipar los puntos de giro de la actividad desde una fase expansiva a una recesiva o viceversa. Para confirmar la existencia de un punto de giro en el ciclo económico se requiere de seis meses consecutivos con caídas en la tendencia ciclo del Estimador Mensual de Actividad Económica (EMAE) que publica mensualmente el INDEC. Para mayores detalles ver Apartado 3 / Índice Líder de Actividad Económica del BCRA, IPOM Enero de 2017.
10 Maquinaria, equipos, material de transporte, etc.
11 Para mayores detalles ver Apartado 1 / El consumo privado, una variable difícil de seguir en tiempo real, IPOM Julio 2017.
12 Las variaciones trimestrales del indicador IBIF-BCRA son un promedio ponderado de las variaciones trimestrales desestacionalizadas del ISAC (INDEC), de las importaciones de bienes de capital (INDEC) y de la producción nacional de bienes de capital (FIEL). Los ponderadores se corresponden con el peso de la construcción, la inversión en equipo durable de producción (EDP) importado y EDP nacional en la IBIF del trimestre anterior. Con datos a febrero, el ISAC subió 2,4% s.e. con respecto al cuarto trimestre de 2017, las importaciones de bienes de capital subieron 1,8% s.e. mientras que la producción nacional de bienes de capital cayó 5,7% s.e.
13 Índice de frecuencia mensual que incluye indicadores tradicionales y no tradicionales del consumo de bienes y servicios. Para mayores detalles ver Apartado 1 / El consumo privado, una variable difícil de seguir en tiempo real, IPOM Julio 2017.
14 Datos de ADEFA (mar-18) y de INDEC (Encuesta de comercios de electrodomésticos y artículos para el hogar dic-17 y Encuesta de centros de compras ene-18. Las ventas a precios corrientes de electrodomésticos y artículos para el hogar se deflactaron por los respectivos ítems del IPC CABA. El resto de las ventas de los centros de compra se deflactaron por el IPC CABA. La desestacionalización de las series es propia.
15 Se considera como sector público a la Nación, las provincias y los municipios, excluyéndose al BCRA. El ahorro público Spub se estimó en base a información de los ingresos corrientes (sin utilidades del BCRA; T) menos las transferencias al sector privado Tr y menos los pagos de intereses i.D. Posteriormente, se restó el consumo público G estimado por el INDEC.
Spub = T -Tr -i.D -G
Para el cálculo de la brecha entre el ahorro nacional público y la inversión del sector público se sustrajo a Spub el gasto de capital consolidado estimado Ipub.
16 La fuerte elasticidad observada entre 2016 y 2017 reflejó, en parte, la adquisición postergada de bienes importados durante la vigencia del cepo cambiario.
17 El PIB a precios básicos se ubicó durante el cuarto trimestre de 2017 un 3,3% por encima del mismo período del año anterior.
18 Según el INDEC, el coeficiente de Gini del ingreso per cápita familiar de las personas, en los aglomerados urbanos, bajó desde 0,428 a 0,417 entre el cuarto trimestre de 2016 y el de 2017.
19 Según datos del Ministerio de Trabajo, Empleo y Seguridad Social correspondientes al Sistema Integrado Previsional Argentino (SIPA), deflactados por IPC Nacional.
20 Esto implicará un compromiso de inversión por parte del sector privado de más de 20.000 millones de dólares para la concreción de obras de importancia estratégica para el desarrollo del país.
21 Argentina posee uno de los mercados de capitales menos desarrollado de América latina, su capitalización de mercado asciende a solo el 18% del PIB, en Brasil es del 46% y en Chile del 112%.
22 La Ley de Financiamiento Productivo permitirá securitizar hipotecas, lo cual impactará positivamente en la oferta de créditos hipotecarios al generar mayor liquidez en los bancos que otorgan dichos créditos. Adicionalmente, la ley facilitará el acceso para las pymes, que podrán acceder a un mayor financiamiento en los mercados de capitales.
23 En el primer trimestre tuvieron lugar subas en expensas que reflejaron la incidencia de las subas de los servicios públicos (electricidad) y la recomposición salarial de los encargados de edificio por la cláusula de revisión del convenio 2017-2018.
24 A través de la Res. 474/17 (del 30/11/2017) se readecua la estructura de la tarifa social y, en el global, se reduce la bonificación. Se constituye un bloque de consumo base equivalente al umbral superior de consumo de la categoría R1 por zona tarifaria. Para ese consumo se bonifica un 100% el precio del Gas Natural o del Gas propano Indiluido por redes, y se bonifica un 75% al consumo excedente hasta un volumen equivalente al consumo base. El gas adicional que se consuma por encima de los bloques mencionados se pagará al precio incluido en la tarifa. También se modifica la forma de cómputo, ya que se factura al precio del cuadro tarifario y se aplica una bonificación en la factura.
25 La tasa de interés real corresponde a la tasa de interés de política a la que se le descuenta la inflación esperada (específicamente: (1+i)/(1+\pi^e)-1). Se consideraron dos versiones de inflación esperada: el promedio de la expectativa mensual de la inflación núcleo de los siguientes tres meses y el promedio de la expectativa mensual de la inflación general de los siguientes tres meses (ambas con fuente REM – BCRA). El hecho de utilizar el promedio de tres meses de la expectativa mensual de inflación busca suavizar esta variable de posibles shocks transitorios sobre los precios, en tanto que la medida de inflación núcleo busca considerar una variable que refleje mejor la tendencia subyacente de la inflación (dado que esta medida no incluye precios regulados ni de bienes estacionales).
26 Resolución 41.057-E/2017 de la Superintendencia de Seguros de la Nación.
27 Tasa de interés de plazos fijos minoristas corresponde a la tasa de interés por depósitos a plazo fijo en pesos de 30 a 44 días de hasta $ 100.000; BADLAR es la tasa de interés por depósitos a plazo fijo de 30 a 35 días de plazo y de más de un millón de pesos; y TM20 es la tasa de interés por depósitos a plazo fijo de 30 a 35 días de plazo y de más de 20 millones de pesos.
28 Impuesto al Producto Industrializado. Para las importaciones el IPI es tributable en el momento de la liberación aduanera.
29 El acuerdo bilateral de comercio automotriz entre Argentina y Brasil establece que la relación entre el valor de las importaciones y exportaciones entre las partes, sobre productos administrados, tenga en cuenta un coeficiente de desviación de las exportaciones —flex— de no más de 1,5 en el periodo de cinco años (07/01/2015 a 30/06/2020). En el acumulado sectorial, en 2016 y 2017, ese coeficiente fue de 1,7 y 2,2 respectivamente.
30 Para más detalle sobre la metodología ver Blanco, D’Amato, Garegnani y Dogliolo (2017) “Nowcasting GDP in Argentina: Comparing the predictive ability of different models”. Documento de trabajo BCRA N°74.
31 Conviene aclarar que sólo nos quedamos con la última actualización de dicho relevamiento, a fin de que las comparaciones sean correctas. Los resultados no se modifican significativamente si se consideran las sucesivas actualizaciones que los pronosticadores realizan.
32 Déficit hídrico (ausencia de lluvias) combinado con déficit térmico (elevadas temperaturas) y fuertes vientos.
33 Garzón Juan Manuel. “La sequía golpea y no sólo a los productores de granos” 08-mar-18. IERAL de Fundación Mediterránea.
34 Hasta el momento se ha cosechado el 28% de soja y 31% maíz.
35 Relevamiento de Tecnología Agrícola Aplicada (ReTAA) de la Bolsa de Cereales de Buenos Aires. En semillas de soja, se utiliza un proceso transgénico que confiere resistencia a insectos y más potencial productivo. En maíz, se usan materiales de alto rinde, híbridos adaptados para siembras tardías y de segunda para la región central.
36 Especialmente por la harina de soja cuyo precio acumuló un alza de 23% desde diciembre 2017 en el puerto de Rosario y Argentina es el primer exportador, con el 40% del comercio mundial. En aceite también es el primer exportador mundial con un 45% del comercio mundial, pero tiene sustitutos muy cercanos como el aceite de palma.
37 Neto de la producción destinada al consumo interno bajo el supuesto que el beneficio por la suba de precios al productor se compensa con el mayor costo para los consumidores que utilizan estos productos como insumos (para engorde de ganado vacuno, porcino, aviar, tambos, etc.).
38 Hay que considerar que no toda la producción se comercializará a los nuevos precios. Hay productores que ya fijaron precio en operaciones de venta a futuro. Al 4 de abril el 32% de la soja ya fijó precios, mientras que a esta altura en las últimas cinco campañas sólo el 16% lo había hecho.
39 Al respecto, con el objeto de destrabar las operaciones a futuro el Ministerio de Agroindustria a través del Decreto 265 de 03/04/18 estableció que la liquidación de los derechos de exportación en operaciones futuras se aplicarán las alícuotas vigentes para el período de embarque declarado en la Declaración Jurada de Venta al Exterior (DJVE) y no en el momento de la registración.
40 “Classifying Exchange Rate Regimes: 15 Years Later”, Faculty Research Working Paper Series 16-028, Harvard Kennedy School of Government, junio de 2016.
41 Ver, por ejemplo, Carrière-Swallow, Jácome, Magud y Werner: “Central Banking in Latin America: the Way Forward”, cap. 3 de Challenges for Central Banking. Perspectives from Latin America, Fondo Monetario Internacional, 2016.
42 Ver, entre otros: Nordstrom, Roger, Stone, Shimizu, Kisinbay y Restrepo, «The Role of the Exchange Rate in Inflation-Targeting Emerging Economies», IMF Occasional Papers 267, International Monetary Fund, 2009; Aguirre y Burdisso, «Dangerous Liaisons? An Empirical Assessment of Inflation Targeting and Exchange Rate Regimes,» Documento de trabajo 2008|39, Banco Central de la República Argentina.
43 El análisis por el cual se arriba a esta conclusión puede verse el post del blog del BCRA, Ideas de Peso: “¿Tiene efectos monetarios la acumulación de reservas internacionales del Banco Central?”, de 29 de noviembre de 2017.
Glosario
€: Euro
Acum.: Acumulado
AFCP: Asociación de Fabricantes de Cemento Portland
AFIP: Administración Federal de Ingresos Públicos
AUH: Asignación Universal por Hijo para Protección Social
BADLAR: Buenos Aires Deposits of Large Amount Rate (tasa de interés pagada por depósitos a plazo fijo de más de un millón de pesos en el tramo de 30 a 35 días por el promedio de entidades bancarias)
BCB: Banco Central de Brasil
BCBA: Bolsa de Comercio de Buenos Aires
BCE: Banco Central Europeo
BCRA: Banco Central de la República Argentina
BONAR: Bono de la Nación Argentina
CABA: Ciudad Autónoma de Buenos Aires
CEMBI+: Corporate Emerging Market Bond Index Plus
CEMBI+AR: Corporate Emerging Market Bond Index Plus Argentina
CEPAL: Comisión Económica para América Latina y el Caribe
CER: Coeficiente de Estabilización de Referencia
CIFRA: Centro de Investigación y Formación de la República Argentina – Central de Trabajadores de la Argentina (CTA)
COICOP: Classification of Individual Consumption According to Purpose
CNV: Comisión Nacional de Valores
Contrib.: Contribución
CyE: Combustibles y Energía
DJVE: Declaraciones Juradas de Ventas al Exterior
e: Estimado
EDP: Equipo Durable de Producción
EIL: Encuesta de Indicadores Laborales
EMAE: Estimador Mensual de la Actividad Económica
EMBI+: Emerging Markets Bond Index Plus
EMBI+AR: Emerging Markets Bond Index Plus Argentina
EMBIG: Emerging Market Bond Index Global
ENGHo: Encuesta Nacional de Gastos e Ingresos de los Hogares
EPH: Encuesta Permanente de Hogares
excl.: Excluyendo
Fed: Reserva Federal de los Estados Unidos
FIEL: Fundación de Investigaciones Económicas Latinoamericanas
FMI: Fondo Monetario Internacional
FMI WEO: World Economic Outlook
FOB: Free on Board (operaciones de compraventa que se realiza por barco)
FOMC: Comité Federal de Mercado Abierto
GBA: Gran Buenos Aires
i.a.: Interanual
IAMC: Instituto Argentino de Mercado de Capitales
IBIF: Inversión Bruta Interna Fija
ICC: Índice de Confianza del Consumidor elaborado por la Universidad Torcuato Di Tella
ICC-INDEC: Índice del Costo de la Construcción
IGA-OJF: Índice General de Actividad de Orlando J. Ferreres
ILA: Índice Líder de la Actividad
ILCO: Indicador Líder del Consumo privado del BCRA
INDEC: Instituto Nacional de Estadística y Censos
INML: Índice de Novillos del Mercado de Liniers
IPC: Índice de Precios al Consumidor de cobertura nacional difundido por el INDEC
IPCBA: Índice de Precios al Consumidor de la Ciudad de Buenos Aires
IPC Córdoba: Índice de Precios al Consumidor de la Provincia de Córdoba
IPC GBA: Índice de Precios al Consumidor del Gran Buenos Aires
IPC-NP: Indicador Nacional Ponderado
IPC San Luis: Índice de Precios al Consumidor de la Provincia de San Luis
IPIB: Índice de Precios Internos Básicos
IPIM: Índice de Precios Internos al por Mayor
IPMP: Índice de Precios de las Materias Primas
IPOM: Informe de Política Monetaria
ITCNM: Índice de Tipo de Cambio Nominal Multilateral
ITCRM: Índice de Tipo de Cambio Real Multilateral
IVA: Impuesto al Valor Agregado
kg: Kilogramo
LAC: Latin American Consensus Forecasts
LEBAC: Letras del Banco Central (Argentina)
LFPIF: Línea de financiamiento para la producción y la inclusión financiera
M2: Billetes y monedas + cuasimonedas en circulación + cuentas corrientes en $ y cajas de ahorro en $
Mens.: mensual
MERVAL: Mercado de Valores de Buenos Aires
mill.: Millones
Min.: Ministerio
MIP: Matriz insumo-producto
MOA: Manufacturas de Origen Agropecuario
MOI: Manufacturas de Origen Industrial
MRO: Main refinancing operations
MSCI: Morgan Stanley Capital International Index
MULC: Mercado Único y Libre de Cambios
NEA: Noreste argentino
NG: Nivel general
NOA: Noroeste argentino
OCDE: Organización para la Cooperación y el Desarrollo Económico
OPEP: Países Exportadores de Petróleo
p.b.: Puntos básicos
p.p.: Puntos porcentuales
p: Proyectado
PAMI: Obra Social para Jubilados y Pensionados
PCE: Personal consumption expenditures
PCP-BCRA: Predicción contemporánea del PIB del BCRA
PEA: Población Económicamente Activa
PIB: Producto Interno Bruto
PMI: Purchasing Managers’ Index
PP: Productos primarios
Prom. móv.: Promedio móvil
Prom.: Promedio
R$: Real
REM: Relevamiento de Expectativas de Mercado del BCRA
REPO: Repurchase Agreement (Operación de Recompra)
ROE: Registros de Operaciones de Exportación
Rueda REPO: Tasa de interés promedio de las operaciones a 1 día hábil entre entidades financieras en el mercado garantizado
S.A: Sociedad Anónima
s.e.: Serie sin estacionalidad
SSPM: Indicador de Consumo Privado elaborado por el Ministerio de Hacienda
TFF: Tasa de fondos federales
tn.: Tonelada
TN: Tesoro Nacional
TNA: Tasa Nominal Anual
Trim.: Trimestral / Trimestre
UCI: Utilización de la capacidad instalada
US$: Dólares Americanos
UTDT: Universidad Torcuato Di Tella
UVA: Unidad de Valor Adquisitivo
Var.: Variación
Vol.: Volumen
YPF SA: Yacimientos Petrolíferos Fiscales Sociedad Anónima

















































































